• Предмет: Математика
  • Автор: Angralfer
  • Вопрос задан 8 лет назад

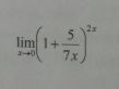
Вычислить пределы функции

Приложения:

Ответы

Ответ дал: Liamus
0

Согласно второму замечательному пределу

lim_{x to infty} left(1+frac{1}{x} right)^{x}=e

получим

lim_{x to infty} left(1+frac{5}{7x} right)^{2x}= lim_{x to infty} left(left(1+frac{1}{frac{7x}{5}} right)^{frac{7x}{5}}right)^frac{10}{7}=e^frac{10}{7}

Если х стремится к нулю, то полученную неопределенность, используя экспоненциальное представление, раскрываем с помощью правила Лопиталя:

lim_{x to 0} left(1+frac{5}{7x} right)^{2x}={infty^0}=lim_{x to 0} e^{2xlnleft(1+frac{5}{7x} right)}=\=lim_{x to 0} e^{frac{lnleft(1+frac{5}{7x} right)}{frac{1}{2x}}}=e^lim_{x to 0} frac{lnleft(1+frac{5}{7x} right)}{frac{1}{2x}}}=e^lim_{x to 0} frac{frac{7x}{7x+5}cdotleft(-frac{5}{7x^2}right)}{-frac{1}{2x^2}}}=e^0=1.


Вас заинтересует