Ответы
Ответ дал:
0
Ответ на фото)))))))))))))))
Приложения:

Ответ дал:
0
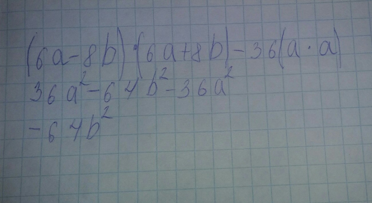
36a+48ab-48ab-64b²-36a²=36a²-64b²-36a²=-64b²
Приложения:

Вас заинтересует
2 года назад
2 года назад
3 года назад
9 лет назад
9 лет назад