Ответы
Ответ дал:
0
Решение во вложении. Удачи
Приложения:

Ответ дал:
0
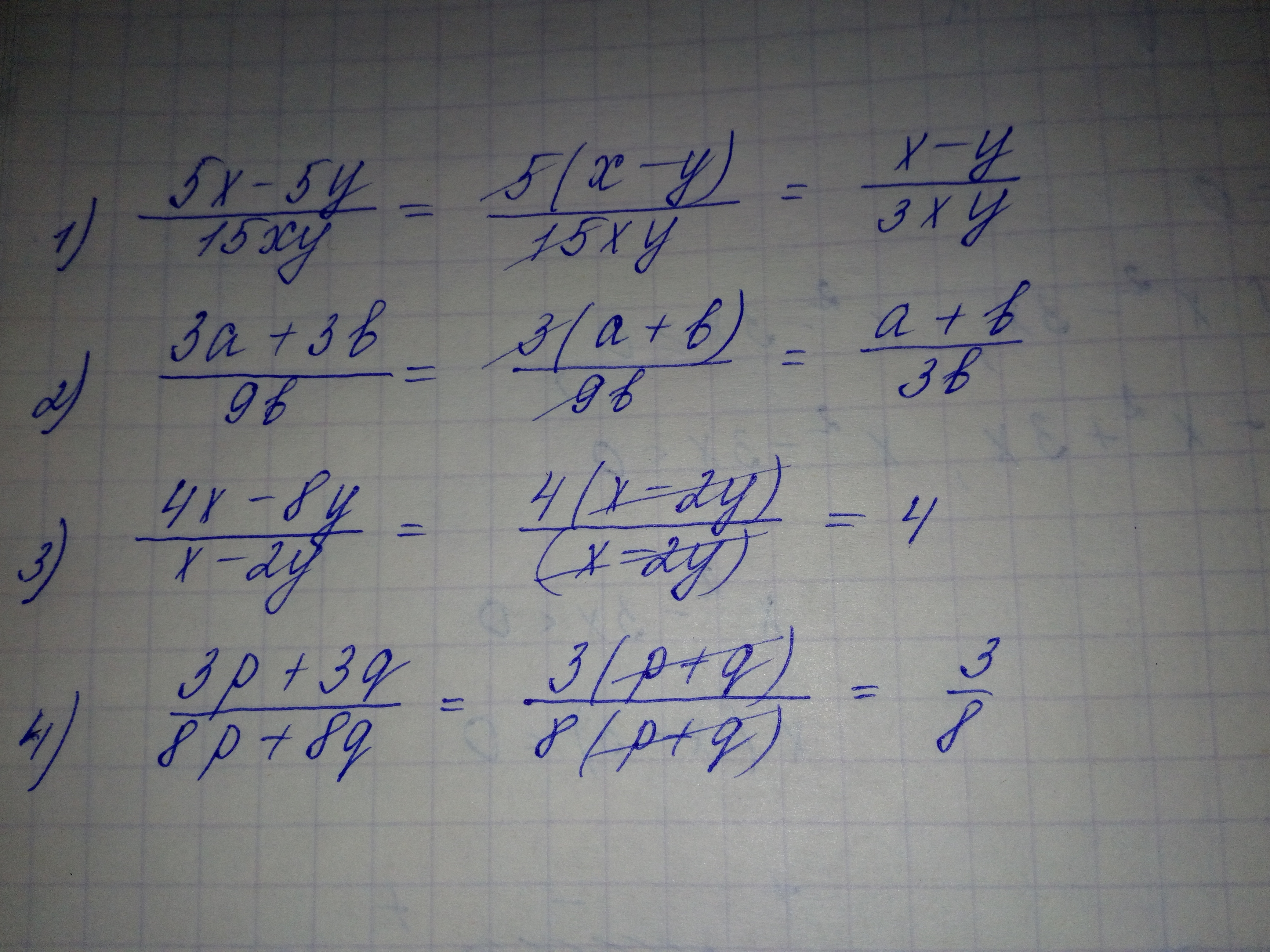
1) 5(x-y) / 15xy
x-y / 3xy
2) 3(a+b) / 9b
a+b / 3b
3) 4(x-2y) / x-2y
(сокращаем, получаем 4)
4) 3(p+q) / 8(p+q)
(сокращаем, получаем ⅜)
x-y / 3xy
2) 3(a+b) / 9b
a+b / 3b
3) 4(x-2y) / x-2y
(сокращаем, получаем 4)
4) 3(p+q) / 8(p+q)
(сокращаем, получаем ⅜)
Приложения:

Вас заинтересует
2 года назад
2 года назад
3 года назад
9 лет назад
9 лет назад
9 лет назад