• Предмет: Алгебра
  • Автор: Аноним
  • Вопрос задан 8 лет назад

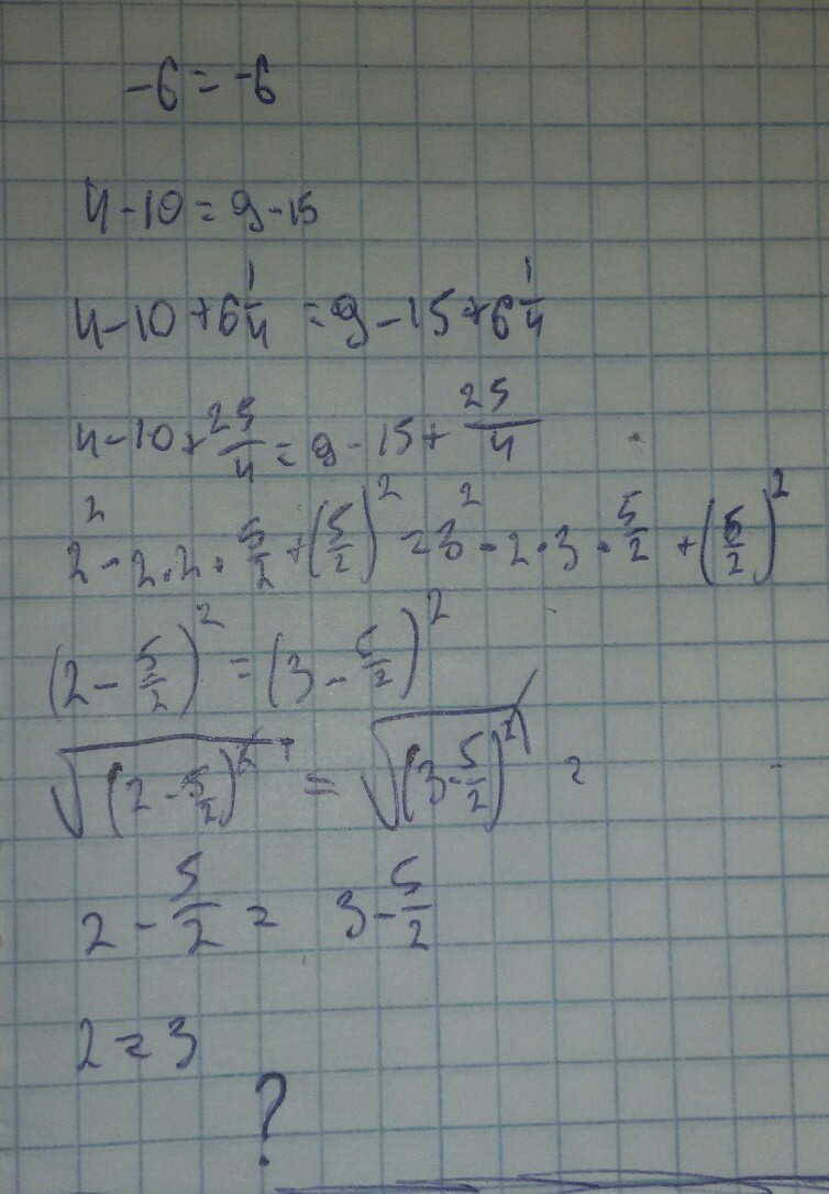
Найти ошибку на фото.....
.......

Приложения:

Ответы

Ответ дал: kratgv
0

I 2-5/2 I=I 3-5/2 I ТОЛЬКО по МОДУЛЮ равны!

Ответ дал: NeZeRAvix
0

sf sqrt{x^2}=|x|  - свойство корней четной степени.

Поэтому ошибка в предпоследней строчке

sf sqrt{left(2-dfrac{5}{2}right)^2}=sqrt{left(3-dfrac{5}{2}right)^2} \ \ left|2-dfrac{5}{2}right|=left|3-dfrac{5}{2}right| \ \ |-0.5|=|0.5| \ \ 0.5=0.5

Вас заинтересует