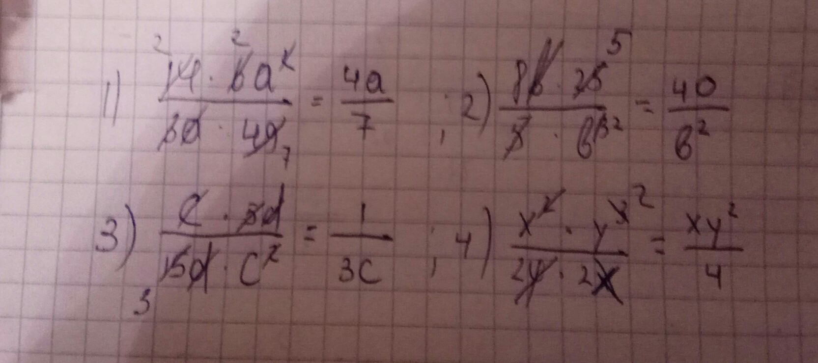
Выполни действия и Сократите дроби Если значение всех переменных натуральные числа
1)14 / 3а × 6а^2 / 49
2)8b / 5 : b^3 / 25
3)c / 15d × 5d / c^2
4)x^2 / 2y :2x / y^3
Срочно!
Ответы
Ответ дал:
0
Всё во вложении) Удачи)
Приложения:

Ответ дал:
0
Спасибо большое
Вас заинтересует
2 года назад
3 года назад
3 года назад
8 лет назад
8 лет назад
9 лет назад