• Предмет: Физика
  • Автор: Гений1от1бога
  • Вопрос задан 8 лет назад

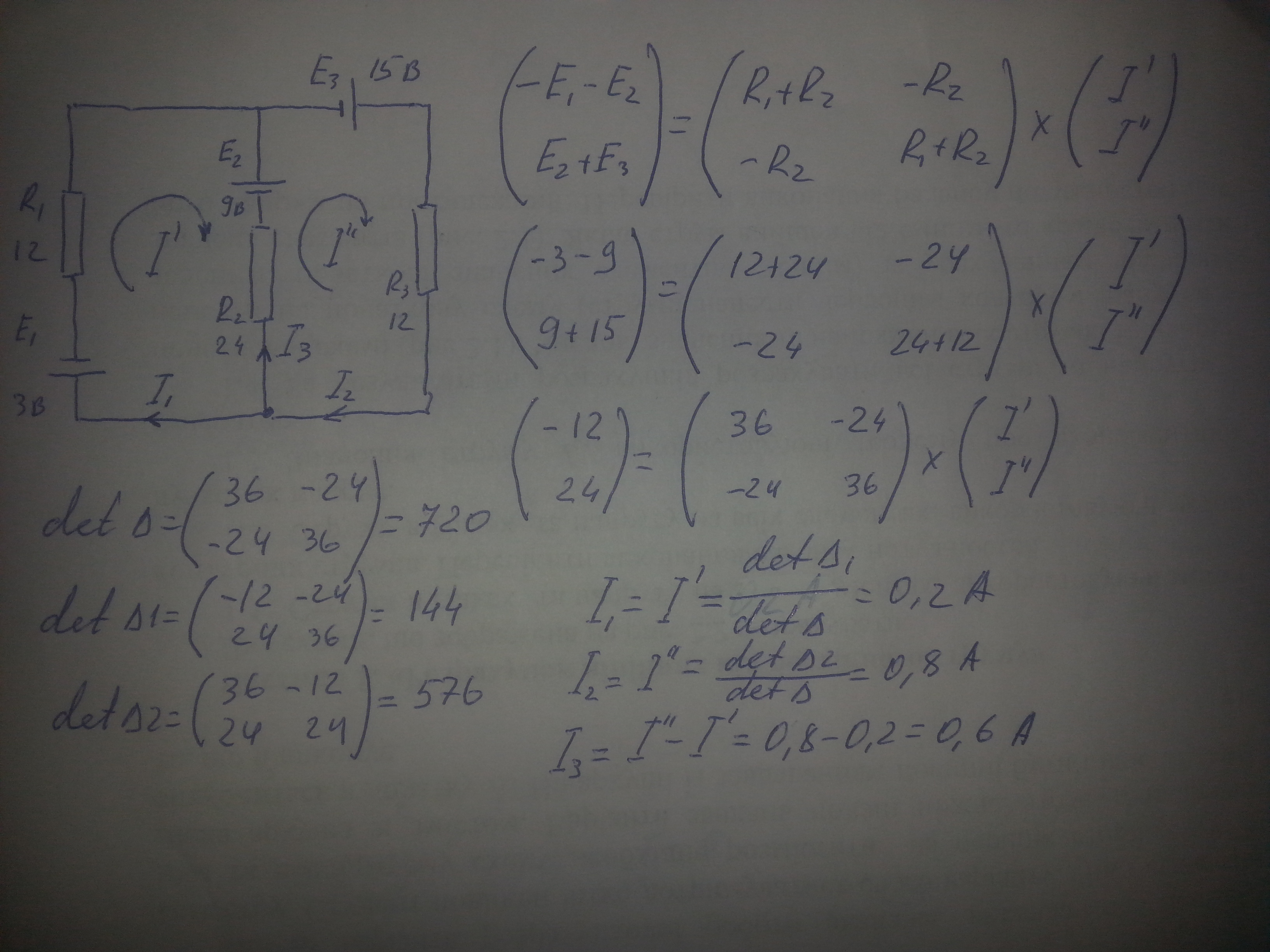
эдс1= 3 в
эдс2= 9 в
эдс3= 15 в
R1= 12 ом
R2= 24 ом
R3= 12 ом
Найти силу тока и его направление во всех участках данной цепи, внутреннее сопротивление принебрежительно мало

Приложения:

Ответы

Ответ дал: nlyga1111
0

I1 = 0,2 A

I2 = 0,8 A

I3 = 0,6 A

Приложения:
Ответ дал: Гений1от1бога
0
спасибо!
Ответ дал: Гений1от1бога
0
у меня вопрос, что означают эти скобки? это система или что? просто у нас в школе так не пишут
Ответ дал: nlyga1111
0
Да. Это матрица, но можно переписать и в виде линенйного уравнения. Я просто забыл как это сделать школьным вариантом.
Ответ дал: DedStar
0
Да уж... Мы в школе матрицы не проходим (вопрос из раздела Физика 5-9...) :(((
Вас заинтересует