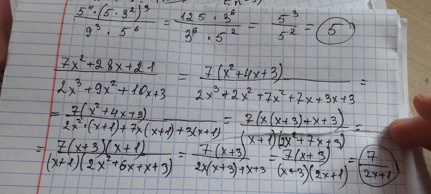
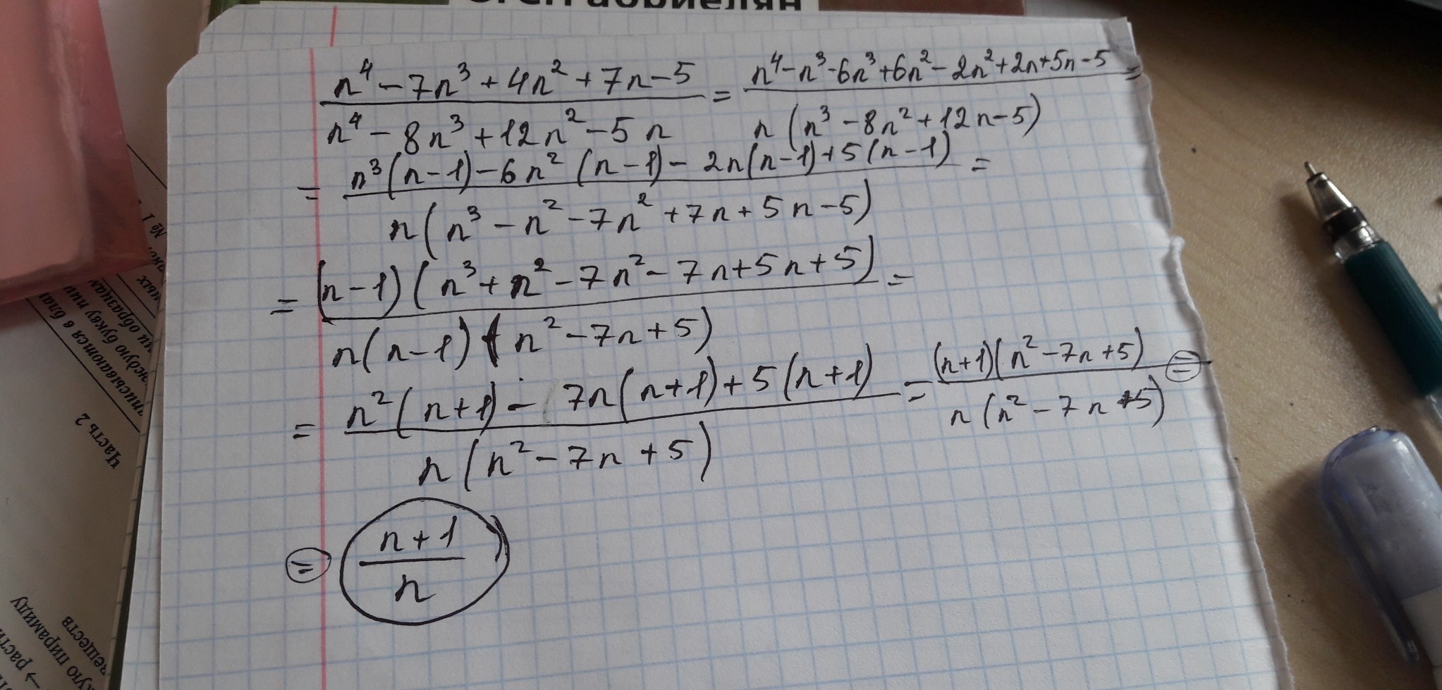
хаюшки! 50 баллов! сократите пожалуйста дроби :) <З
с наступающим!
(с решением пожалуйста)
                        
                                    Приложения:
                    
                            Ответы
                                            Ответ дал: 
                                                                                    
                                        
                                            
                                                
                                                
                                                
                                                    0
                                                
                                            
                                        
                                    
                                        ................ .................
                                    
                                                Приложения:
                    
                            
                            
                                            Ответ дал: 
                                                                                    
                                        
                                            
                                                
                                                
                                                
                                                    0
                                                
                                            
                                        
                                    Приложения:
                    
                            
                            Вас заинтересует
                
                        2 года назад
                    
                
                        3 года назад
                    
                
                        3 года назад
                    
                
                        9 лет назад
                    
                
                        9 лет назад
                    
                
                        9 лет назад