Ответы
Ответ дал:
0
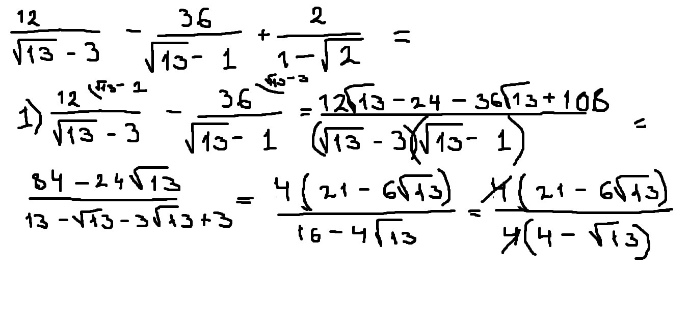
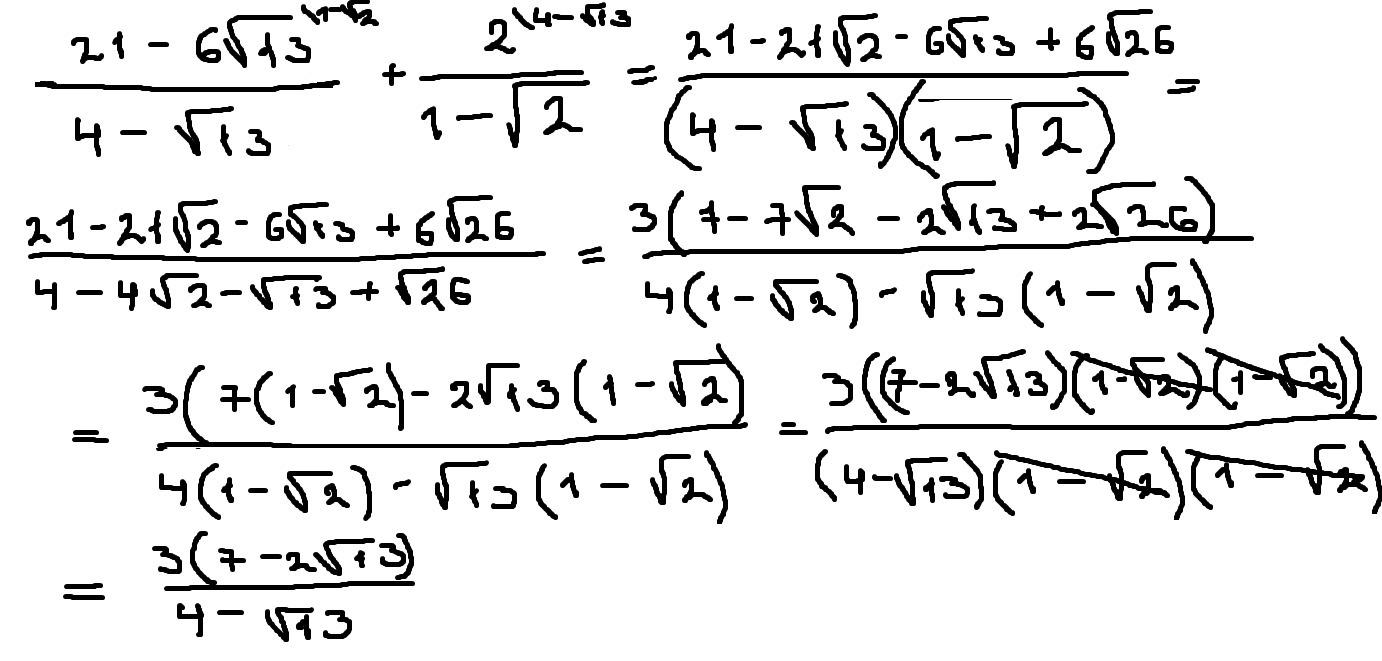
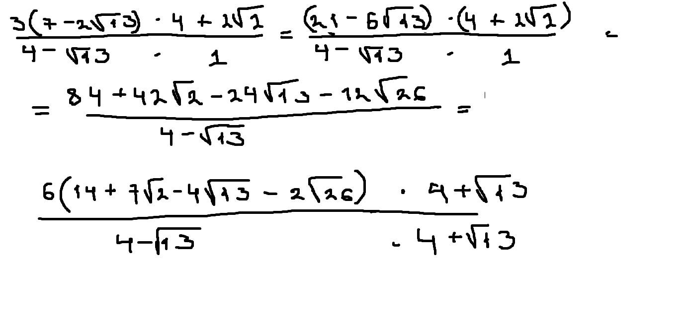
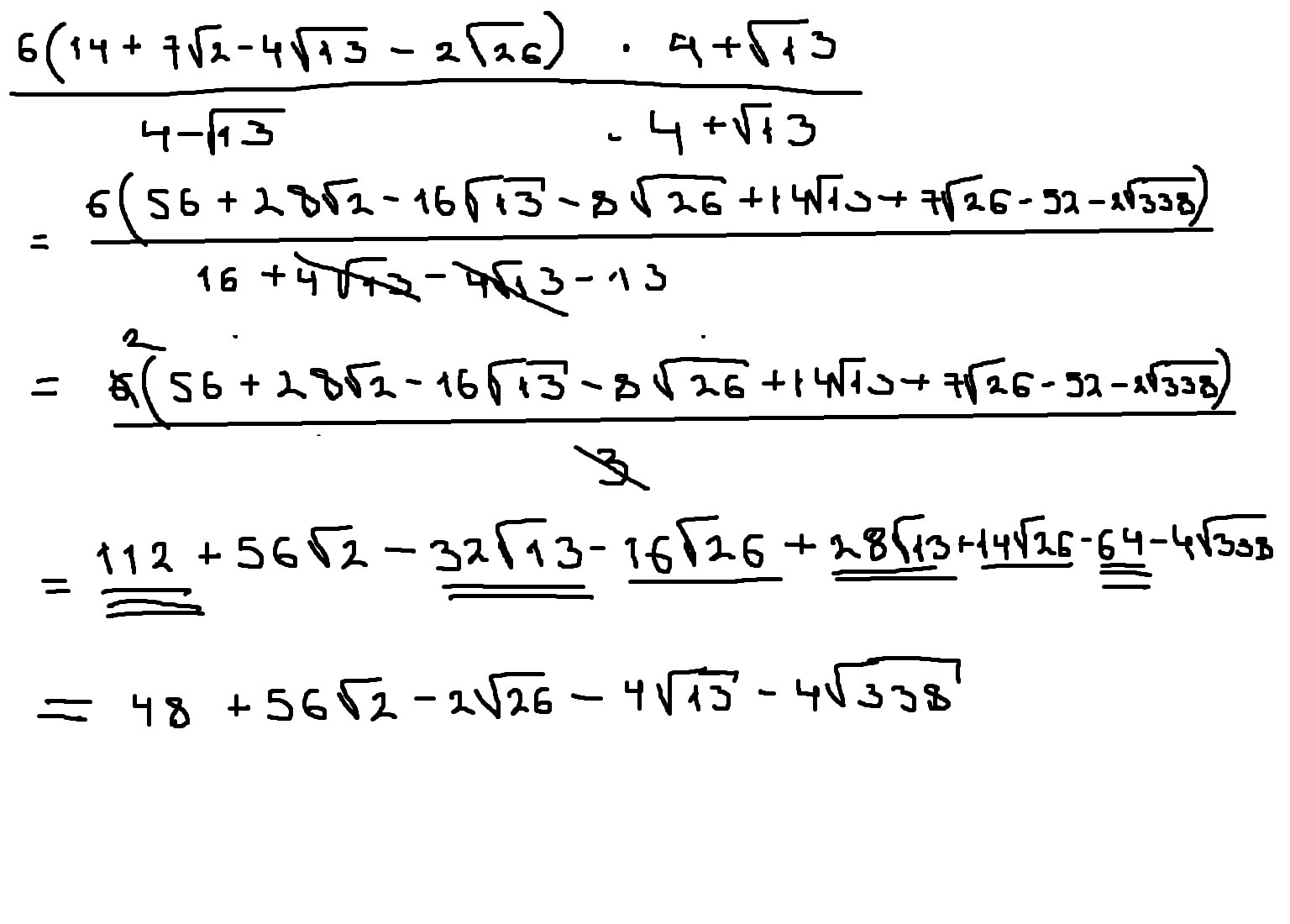
(12/√13-3-36/√13-1+2/1-√2)*(4+2√2)
Приложения:




Вас заинтересует
2 года назад
2 года назад
3 года назад
3 года назад
9 лет назад