• Предмет: Математика
  • Автор: NickyNick55
  • Вопрос задан 8 лет назад

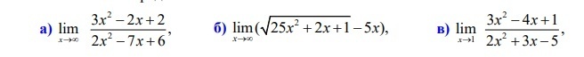
Помогите вычислить пределы, пожалуйста(

Приложения:

Ответы

Ответ дал: Minsk00
0

Ответ:

а) 1,5;  б) 0,2; в)  2/7

Пошаговое объяснение:

a) lim_{x to infty} frac{3x^2-2x+2}{2x^2-7x+6}=lim_{x to infty} frac{x^2(3-frac{2}{x} +frac{2}{x^2}) }{x^2(2-frac{7}{x} +frac{6}{x^2} )} =lim_{x to infty} frac{3-frac{2}{x} +frac{2}{x^2} }{2-frac{7}{x} +frac{6}{x^2} }=frac{3}{2}=1,5

lim_{x to infty} (sqrt{25x^2+2x+1} -5x)=lim_{x to infty} frac{(sqrt{25x^2+2x+1} -5x)(sqrt{25x^2+2x+1} +5x)}{sqrt{25x^2+2x+1} +5x}=

lim_{x to infty} frac{25x^2+2x+1 -25x^2}{sqrt{25x^2+2x+1} +5x}= lim_{x to infty} frac{2x+1}{sqrt{25x^2+2x+1} +5x}= lim_{x to infty} frac{x(2+frac{1}{x}) }{5x(sqrt{1+frac{2}{25x}+frac{1}{25x^2} } +1)}=

lim_{x to infty} frac{2+frac{1}{x} }{5(sqrt{1+frac{2}{25x}+frac{1}{25x^2} } +1)}=frac{2}{5(1+1)}=frac{1}{5}=0,2

lim_{x to 1} frac{3x^2-4x+1}{2x^2+3x-5}=left[begin{array}{ccc}0\0end{array}right]= lim_{x to 1} frac{(3x-1)(x-1)}{(2x+5)(x-1)}= lim_{x to 1} frac{3x-1}{2x+5}=frac{3-1}{2+5}=frac{2}{7}

Вас заинтересует