Ответы
Ответ дал:
0
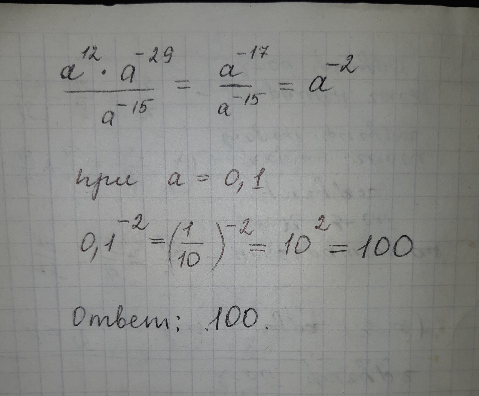
при делении степеней с одинаковыми основанием-основание оставляем тем же а показатели вычитаем и получаем
Ответ дал:
0
__________________________
Приложения:

Вас заинтересует
2 года назад
3 года назад
9 лет назад