Ответы
Ответ дал:
0
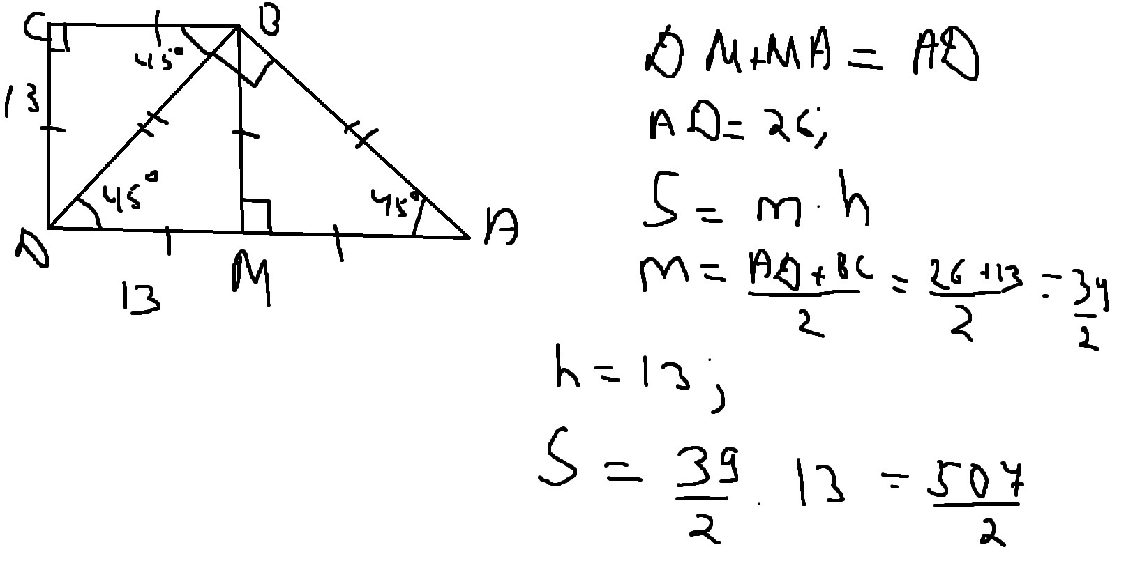
Решение во вложении. В прямоугольнике накрест лежащие углы при диагонали равны, отсюда <CBD = <BDA = 45°
Приложения:

Ответ дал:
0
рекламный ролик не загружается для просмотра ответа
Ответ дал:
0
эй
Ответ дал:
0
AD = DM+AM; AD = 26; S = m*h, где m - средняя линия, m = (AD+BC)/2 = 26+13/2 = 39/2, s = 39/2 * 13 = 507/2
Ответ дал:
0
спасибо
Вас заинтересует
2 года назад
2 года назад
3 года назад
3 года назад
9 лет назад
9 лет назад
9 лет назад
9 лет назад