Ответы
Ответ дал:
0
Ответ дал:
0
Ответ:
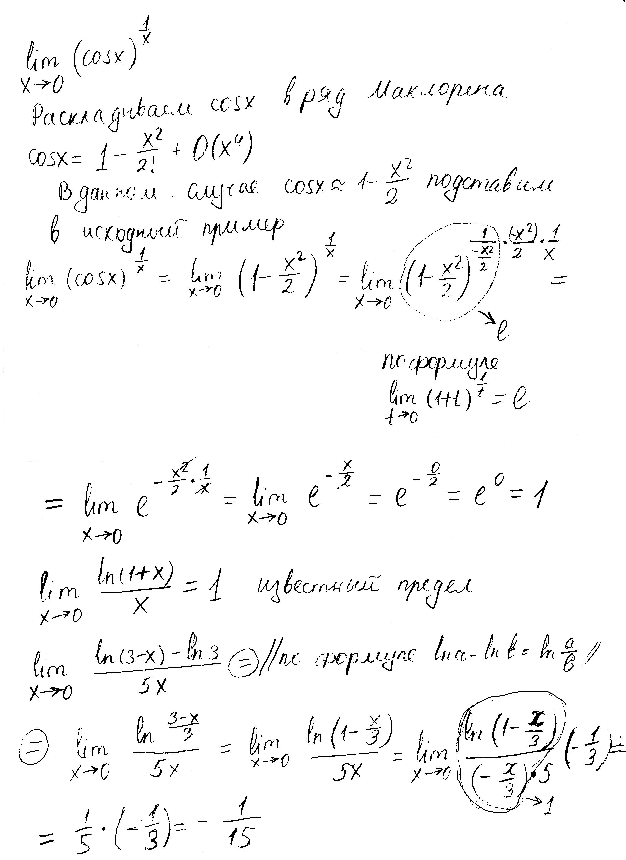
26. 1.
27. 1.
28.
Пошаговое объяснение:
В приложении
Приложения:

Вас заинтересует
2 года назад
3 года назад
9 лет назад
9 лет назад
9 лет назад
9 лет назад