• Предмет: Алгебра
  • Автор: xerty17
  • Вопрос задан 8 лет назад

Упростите выражение...

Приложения:

Ответы

Ответ дал: Беня2018
0

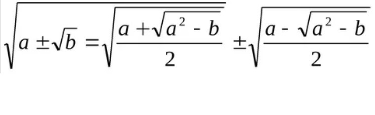
в решении используем формулу сложных радикалов. см. приложение

Приложения:
Ответ дал: valenivan
0

2. Решение задания приложено.

Приложения:
Вас заинтересует