• Предмет: Математика
  • Автор: anastas442
  • Вопрос задан 8 лет назад

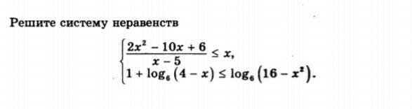
Помогите пожалуйста решить эту систему неравенств!!

Приложения:

Ответы

Ответ дал: as11111
0

Ответ:


Пошаговое объяснение:

left{{{frac{2x^2-10x+6}{x-5}leq x}atop{1+log_6(4-x)leq log_6(16-x^2)}}right.

ОДЗ

left{begin{matrix}x-5neq0 \4-x>0\16-x^2>0end{matrix}}\left{begin{matrix}xneq5 \4>x\4+x>0end{matrix}}\-4<x<4

left{{{frac{2x^2-10x+6}{x-5}-xleq0}atop{log_66+log_6(4-x)leq log_6(16-x^2)}}right.\left{{{frac{2x^2-10x+6-x^2+5x}{x-5}leq0}atop{log_6(24-6x)leq log_6(16-x^2)}}right.\left{{{frac{x^2-5x+6}{x-5}leq0}atop{24-6xleq 16-x^2}}right.

left{{{frac{(x-3)(x-2)}{x-5}leq0}atop{x^2-6x+8leq 0}}right.\left{{{frac{(x-3)(x-2)}{x-5}leq0}atop{(x-2)(x-4)leq 0}}right.

С помощью метода интервалов для первого уравнения находим:

x∈(-∞;2]∪[3; 5)

Для второго:

x∈[2; 4]

Пересечение двух этих множеств:

x∈[3; 4]

С учетом ОДЗ:

x∈[3; 4)

Ответ дал: kechina04p3ba8x
0
Что за приложение?
Вас заинтересует