Двум машинисткам дано задание по перепечатыванию рукописи. Если первая машинистка начнет работу на два часа раньше, чем вторая, то каждая из них выполнит половину работы. Если же обе машинистки одновременно начнут работу, то через два часа им останется перепечатать 14 рукописи. За сколько
часов каждая машинистка может перепечатать эту рукопись?
Ответы
Ответ дал:
0
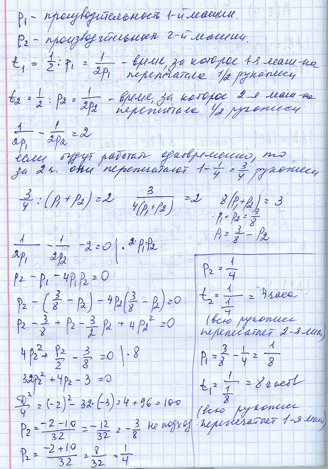
решение находится ниже
Приложения:

Ответ дал:
0
Пусть первая напечатает половину рукописи за х ч., то вторая - за (х -2) ч. На всю рукопись потребуется 2х ч. и 2х-4 ч соответственно.
За два часа они напечатают 3/4 рукописи: 2*(1/2х) + 2*( 1/(2х-4))=3/4.
1/х+1/(х-2)=3/4. Умножим обе части на 4х(х-2).
4х-8+4х=3х²-2х.
3х²-10х+8=0. х=4 или х= 1 1/3- это не подходит к задаче, т.к х-2 будет отрицательным. Первая машинистка напечатает рукопись за 4*2=8 ч, а вторая - 4*2-4=4 часа.
Приложения:

Вас заинтересует
2 года назад
2 года назад
3 года назад
3 года назад
9 лет назад
9 лет назад