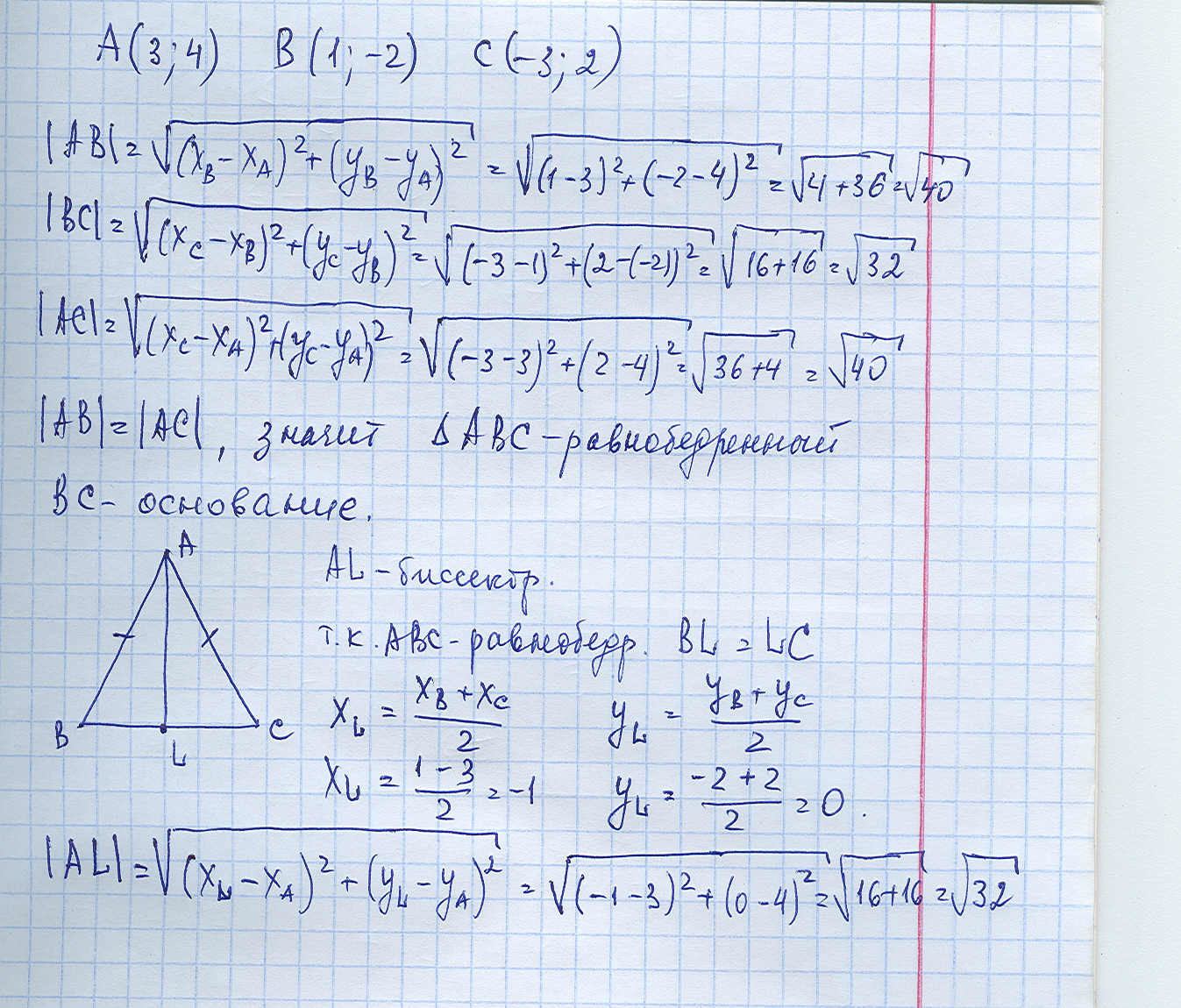
Треугольник АВС координатами своих вершин А(3:4), В(1:-2) С(-3:2)
а) докажите что треугольник АВС равнобедренный
б) найдите длину биссектрисы проведенную к основанию.
Ответы
Ответ дал:
0
решение находится ниже
Приложения:

Ответ дал:
0
Спасибо. выручили меня
Вас заинтересует
2 года назад
3 года назад
3 года назад
9 лет назад
9 лет назад
9 лет назад