Ответы
Ответ дал:
0
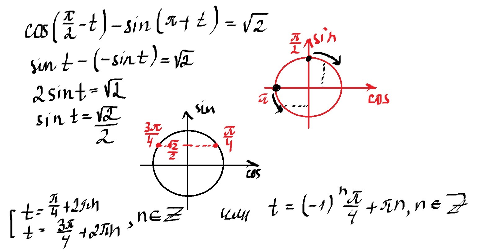
Решение прикреплено. Удачи
Приложения:

Ответ дал:
0
а что эта за программа?
Ответ дал:
0
Приложения:

Вас заинтересует
2 года назад
2 года назад
3 года назад
3 года назад
9 лет назад
9 лет назад
9 лет назад