• Предмет: Математика
  • Автор: iMichael
  • Вопрос задан 8 лет назад

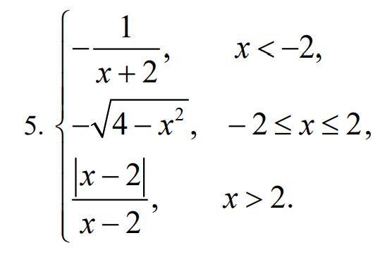
Исследовать функцию y=f(x) на непрерывность. Найти точки разрыва функции и определить их тип. Построить схематический график функции.

Приложения:

Ответы

Ответ дал: xxxeol
0

Пошаговое объяснение:

Прекрасная кусочно-заданная функция. Точки разрыва? -  там где она не существует. Здесь видим два таких события: деление на ноль и корень из отрицательного числа.

Первый участок. Y = - 1/(x+2)  и х+2 ≠0 и х≠ -2 - дано.

D1(y) - X∈(-∞;-2) - область определения. Делаем участок графика - на рисунке в приложении. Это модификация  функции Y = -1/x - ветвь перевёрнута относительно оси ОХ (знак минус) и сдвинута на х=-2 относительно оси ОУ.

Второй участок. Y=-√(4-x²) - это замаскированная отрицательная часть окружности радиуса 2. Проверяем и получаем уравнение:

y² = 4 - x² или  x²+y² = 2² - окружность.

ВАЖНО: Функция существует и при Х=-2 и Х=2 -  на графике КРУГИ- .

Третий участок. Y = |x-2|/(x-2) при Х>2 превращается в функцию Y = 1  - прямая линий.

ВАЖНО: В точке Х=-2 функция не определена - "дырка" - на графике "кольцо".

График функции на рисунке в приложении, а уж определить тип разрыва оставляю для самостоятельной работы.

Приложения:
Ответ дал: xxxeol
0
Интересно, конечно, как изобразить половину математической "дырки". А вот за пояснения про разрывы - большое спасибо.
Ответ дал: mefody66
0
Я имел ввиду полукольцо от -2 до 2.
Ответ дал: iMichael
0
Спасибо всем! Надеюсь это правильное решение.
Ответ дал: mefody66
0
Подтверждаю, как Знаток - решение правильное.
Ответ дал: iMichael
0
Вы случайно не разбираетесь в решении производных? Не могу решить пример. Если сможете помочь - буду благодарен.
У меня в профиле задание..
Вас заинтересует