Помогите пожалуйста решить карточку 6-ой вариант.Очень нужно,прошу,с Новым годом,заранее спасибо!Даю много баллов
Приложения:

Ответы
Ответ дал:
0
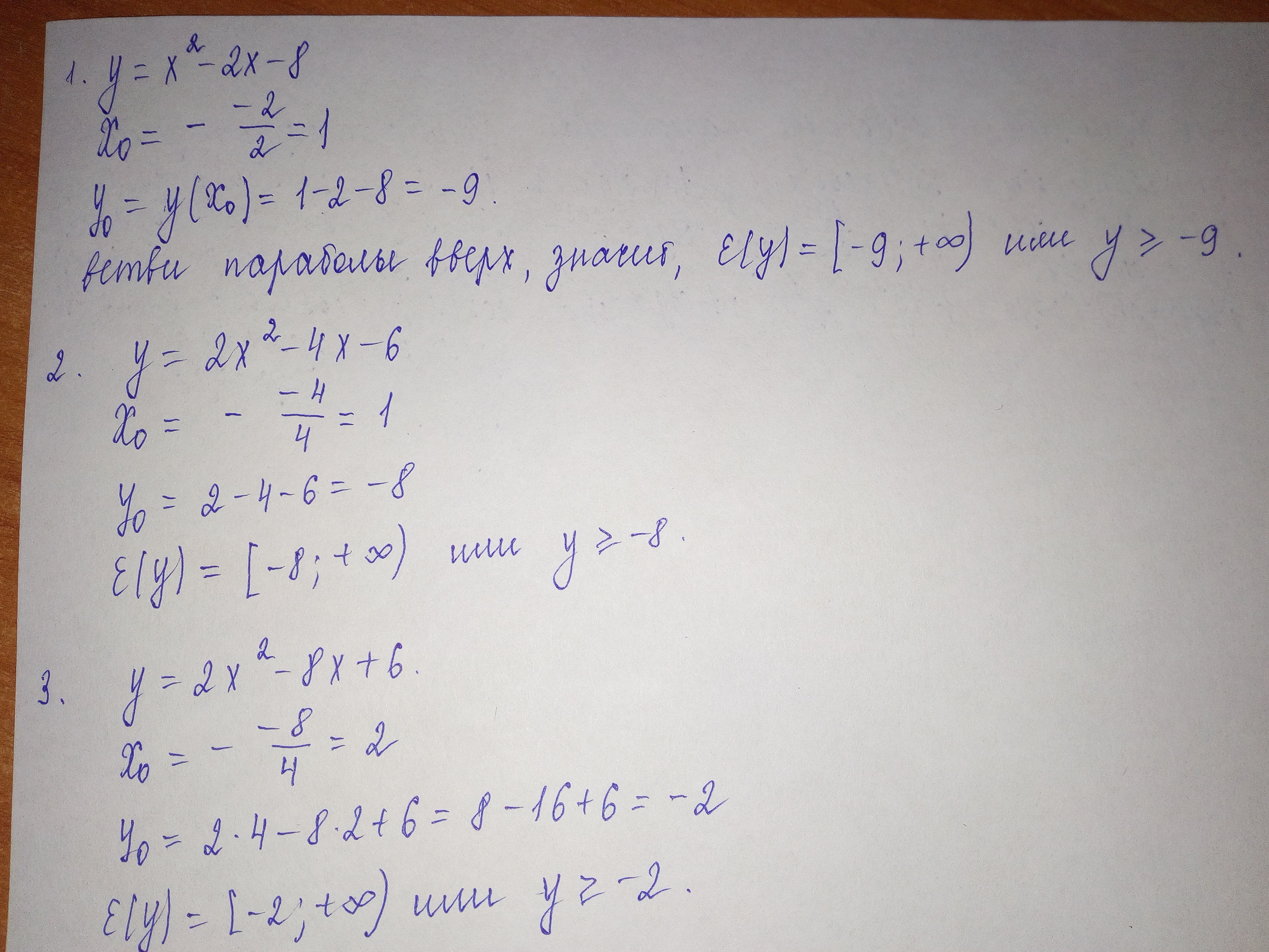
Решение прикреплено. Удачи
Приложения:

Ответ дал:
0
Спасибо большое!
Ответ дал:
0
Приложения:

Вас заинтересует
2 года назад
2 года назад
3 года назад
9 лет назад
9 лет назад
9 лет назад
9 лет назад