• Предмет: Математика
  • Автор: romantikaalena
  • Вопрос задан 8 лет назад

Найти области определения функций одной переменной! 20 баллов!

Приложения:

Ответы

Ответ дал: elena20092
0

Ответ:


Пошаговое объяснение:

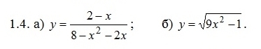
а) функция у = (2 - х)/(8 - х² - 2х)

Знаменатель функции не должен быть равен нулю

-х² - 2х + 8 = 0

D = 4 + 32 = 36   √D = 6

x1 = (2 - 6)/(-2) =2

x2 = (2 + 6)/(-2) = -4

Итак, х ≠ -4 и х ≠ 2

Запишем ответ в интервалах:

область определения D(y) = (-∞; -4) U (-4; 2) U (2; +∞)

б) у = √(9х² - 1)

Подкоренное выражение не должно быть отрицательным

9х² - 1 ≥ 0

х1 ≤ -1/3 и х2 ≥ 1/3

В интервалах. область определения функции равна

D(y) = (-∞; -1/3] U [1/3; +∞)

Ответ дал: antonovm
0
ОЙ , извините Лена , у вас все верно , нарушений нет
Вас заинтересует