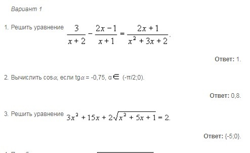
готовлюсь к вступительным, помогите решить уравнение и если можно объяснить для глупеньких
Приложения:

Ответы
Ответ дал:
0
надеюсь правильно) там я само уравнение не писал
Приложения:

Ответ дал:
0
Ответ : 0 ; -5
Пошаговое объяснение: решение ( 3)
Приложения:

Вас заинтересует
2 года назад
3 года назад
3 года назад
9 лет назад
9 лет назад