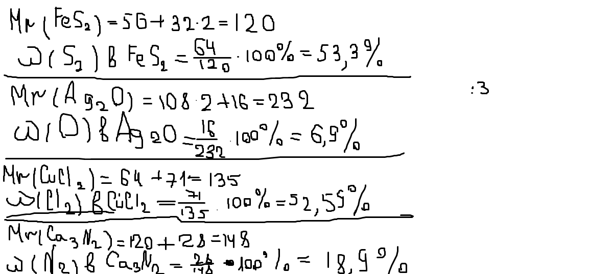
Помагите!!!!!!!Вычеслить массовые доли элементов : FeS2.Ag2O.CuCl2.Ca3N2 )))зарание спасибо ))) только чтоб в ответах получилось в а)46,67%;.53,33%;б)93.10%;6.90%; в)47.41%
; 52.59%г)81.08%
;
18.92%
Ответы
Ответ дал:
0
массовые доли элементов
Приложения:

Вас заинтересует
2 года назад
8 лет назад
10 лет назад
10 лет назад
10 лет назад