• Предмет: Математика
  • Автор: sergik0004
  • Вопрос задан 8 лет назад

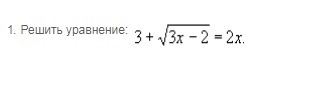
иррациональное уравнение, если можно с объяснением буду очень благодарен

Приложения:

Ответы

Ответ дал: JackLondon1876
0

x=2.75

переносим все что в корне влево.а все что не в корне влево

√3x-2=2x-3

возводим все в квадрат и получаем

3x-2=4x^2-12x+9

4x^2-15x+11=0

D=225-176-49

x1=15-7/8=1              x2=22/8=2.75

проверяем на существования этих корней

√3x-2=2x-3

справа,если подставить 1 то получается что ответ будет отрицательным,а по определению у нас корень положительно число=> x=1-пустое множество

а второй корень будет существовать т.к ответ у нас будет положительным


Ответ дал: JackLondon1876
0
не за что
Ответ дал: sergik0004
0
а когда возвели в квадрат откуда 12х взялось
Ответ дал: JackLondon1876
0
по формуле (a-b)^2=a^2-2ab+b^2
Ответ дал: sergik0004
0
вот в чем проблема,теперь все абсолютно ясно) спасибо дружище, а то голову ломаю и не понимаю почему ничего не получается)
Ответ дал: JackLondon1876
0
я рад) удачи
Вас заинтересует