Ответы
Ответ дал:
0
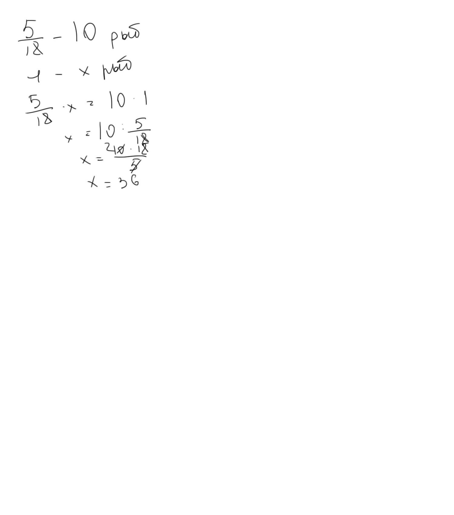
36 рыб, пояснение на рисунке
Приложения:

Ответ дал:
0
10 : 5/18 = 10•18:5 = 36 рыб всего в аквариуме.
Ответ: 36 р.
Ответ: 36 р.
Приложения:

Ответ дал:
0
Правильно пишется «пОмоготе». От слова «пОмощь»
Вас заинтересует
2 года назад
3 года назад
3 года назад
9 лет назад
9 лет назад