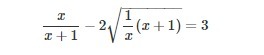
Уравнение
Был бы признателен за помощь... Заменил первое выражение на t;
Подкорневое выражение 1/t
В итоге вышло выражение :
t^3-6*t^2+9*t-4=0
Вроде бы, до этого момента верно.. а дальше что-то запнулся... Был бы признателен за помощь!)
Приложения:

Ответы
Ответ дал:
0
Решение прикрепил. Удачи
Приложения:


Ответ дал:
0
t^3-6t^2+9t-4=0
(t-4)(t-1)^2=0
t-4=0 -> t=4
(t-1)^2=0 -> t=1
t1=4, t2=1
Приложения:


Вас заинтересует
2 года назад
2 года назад
3 года назад
9 лет назад
9 лет назад