Ответы
Ответ дал:
0
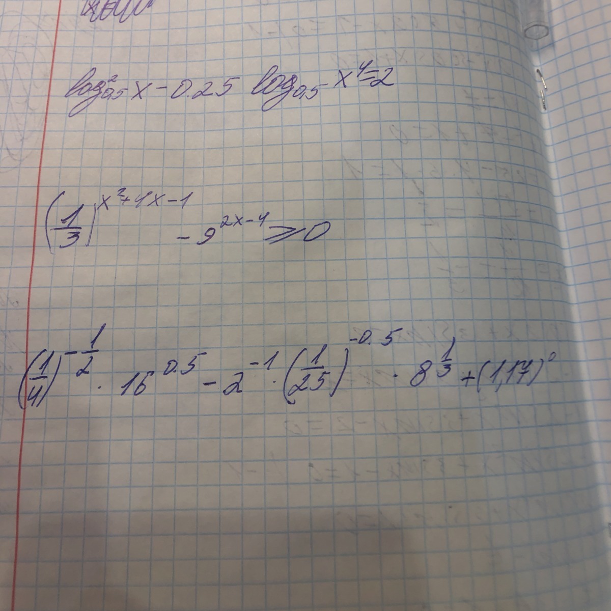
(1/3)^(x²+4x-1)-9^(2x-4)≥0;x€R
3^(1-x²-4x)≥3^(4x-8)
1-x²-4x≥4x-8
-x²-8x+9≥0
x²+8x-9≤0
D=64+36=100=10²
x=(-8±10)/2
x1=-9;x2=1
x€[-9;1]
3^(1-x²-4x)≥3^(4x-8)
1-x²-4x≥4x-8
-x²-8x+9≥0
x²+8x-9≤0
D=64+36=100=10²
x=(-8±10)/2
x1=-9;x2=1
x€[-9;1]
Вас заинтересует
2 года назад
3 года назад
3 года назад
9 лет назад
10 лет назад