• Предмет: Математика
  • Автор: romenlapsha
  • Вопрос задан 8 лет назад

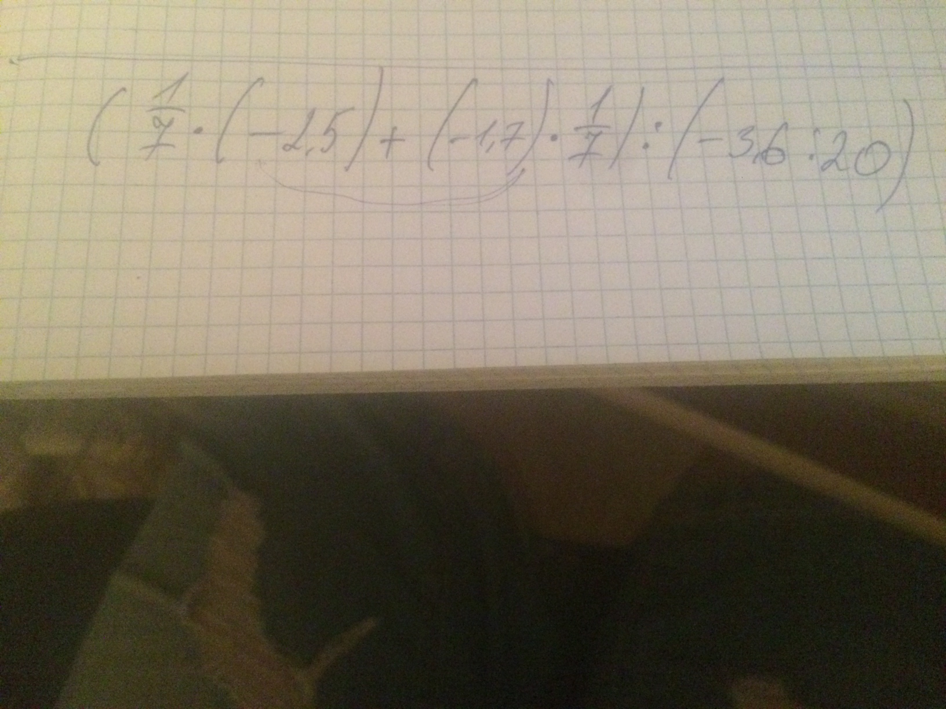
Вычислите, применяя распределительное свойства умножения, где это необходимо:

Приложения:

Ответы

Ответ дал: tatsach
0

Ответ:


Пошаговое объяснение:


Приложения:
Ответ дал: romenlapsha
0
почему в 3) 3/5?
Ответ дал: romenlapsha
0
или же откуда?
Ответ дал: tatsach
0
6/10=3/5
Ответ дал: tatsach
0
-0,6=-6/10=-3/5
Ответ дал: romenlapsha
0
спасибо
Вас заинтересует