Помогите пожалуйста с заданиями на фотографии
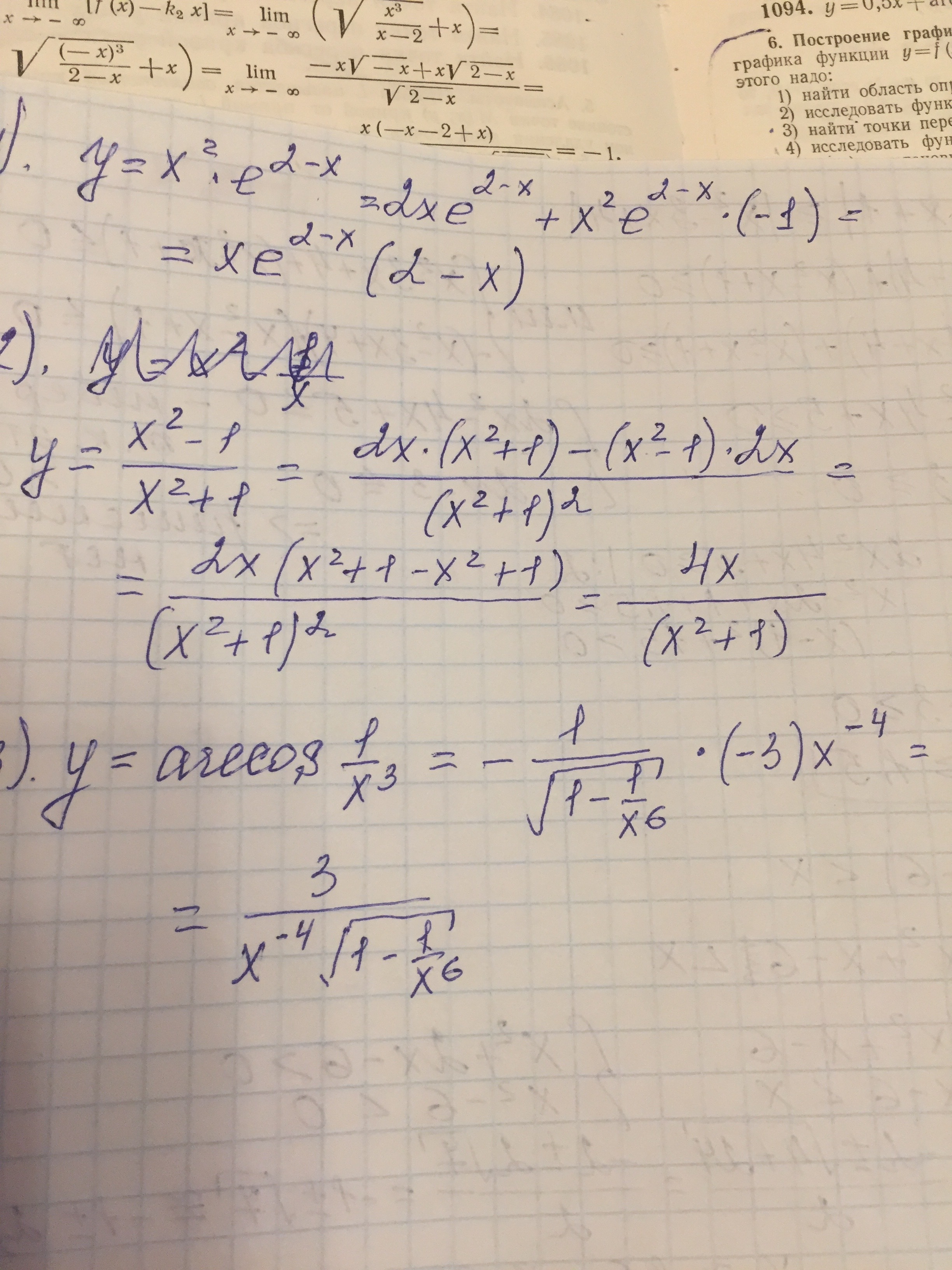
по буквой (г) решить предел
в 7 задании найти производную функции
в 8 Исследовать функцию с помощью производных и построить
ее график.
Приложения:

Ответы
Ответ дал:
0
Ответ:
производная пока
Пошаговое объяснение:
Приложения:

Ответ дал:
0
не могу добавить график. Хочешь на почту вышлю
Ответ дал:
0
спасибо тебе очень сильно помогла
Ответ дал:
0
отправила на почту предел
Ответ дал:
0
спасибо
Вас заинтересует
2 года назад
2 года назад
3 года назад
3 года назад
9 лет назад
9 лет назад
9 лет назад