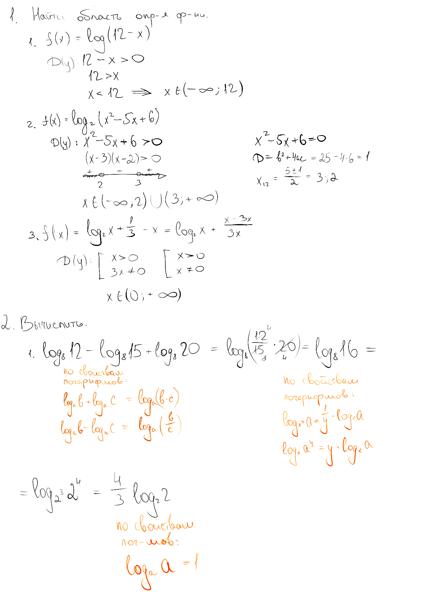
Найдите область определения функции
f(x)=log2(12-x)
f(x)=log2(x2-5x+6)
f(x)=log2 x+1/3-x
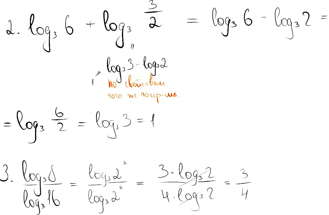
Вычислить:
log8 12-log8 15+log8 20
log3 6+log3 3/2
log3 8/log3 16
Даю что баллов
Ответы
Ответ дал:
0
####################
Приложения:


Ответ дал:
0
https://znanija.com/task/31134692 помогите пожалуйста решить. Буду очень вам благодарен. Прошу вас.
Ответ дал:
0
Извините, забыл дописать во втором задании первом примере, что ответ будет равен 4/3. Но там ясно дано понять, что log_{2}(2) = 1, так что.. Надеюсь, не трагично.
Вас заинтересует
2 года назад
9 лет назад
9 лет назад
9 лет назад