Нужно подробное решение этих примеров, желательно на листе. Можно в цифровом виде.
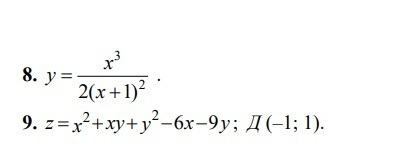
Первое вложение - примеры
Второе вложение - описание того, что нужно сделать


Ответы
Ответ: 1. grad z(-1;1)=-7*i-8*j. 2. Zmin=z(1;4)=-21.
Пошаговое объяснение:
1. grad z=dz/dx*i+dz/dy*j, где dz/dx и dz/dy - частные производные от z по x и по y соответственно, i и j - орты (единичные векторы) координатных осей x и y. Но dz/dx=2*x+y-6, а dz/dy=x+2*y-9. Вычисляем значения dz/dx и dz/dy в точке Д: dz/dx(-1;1)=-2+1-6=-7, dz/dy(-1;1)=-1+2-9=-8. Тогда grad z(-1;1)=-7*i-8*j.
2. Приравнивая найденные выражения для частных производных нулю, получаем систему уравнений:
2*x+y-6=0
x+2*y-9=0
решая которую, находим x=1 и y=4 - координаты критической точки.
Находим вторые частные производные:
d²z/dx²=2, d²z/dxdy=1, d²z/dy²=2. Так как все вторые производные есть константы, то вычислять их значения в критической точке не требуется - они в ней имеют такие же значения. Обозначим A=d²z/dx²=2, B=d²z/dxdy=1, C=d²z/dy²=2. Выражение A*C-B²=3 положительно, поэтому функция z в критической точке действительно имеет экстремум. А так как при этом A>0, то это - минимум. Значение функции в критической точке Zmin=1²+1*4+4²-6*1-9*4=-21.