• Предмет: Алгебра
  • Автор: svetagerb78
  • Вопрос задан 8 лет назад

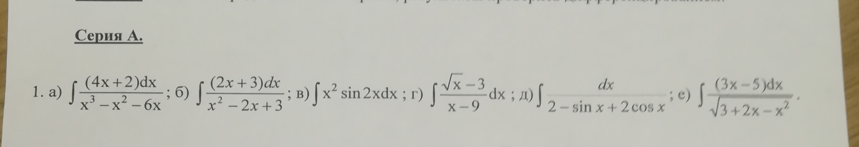
Нужно решение данных интегралов

Приложения:

Ответы

Ответ дал: Miroslava227
0
решение на фотографиях
Приложения:
Вас заинтересует