Ответы
Ответ дал:
0
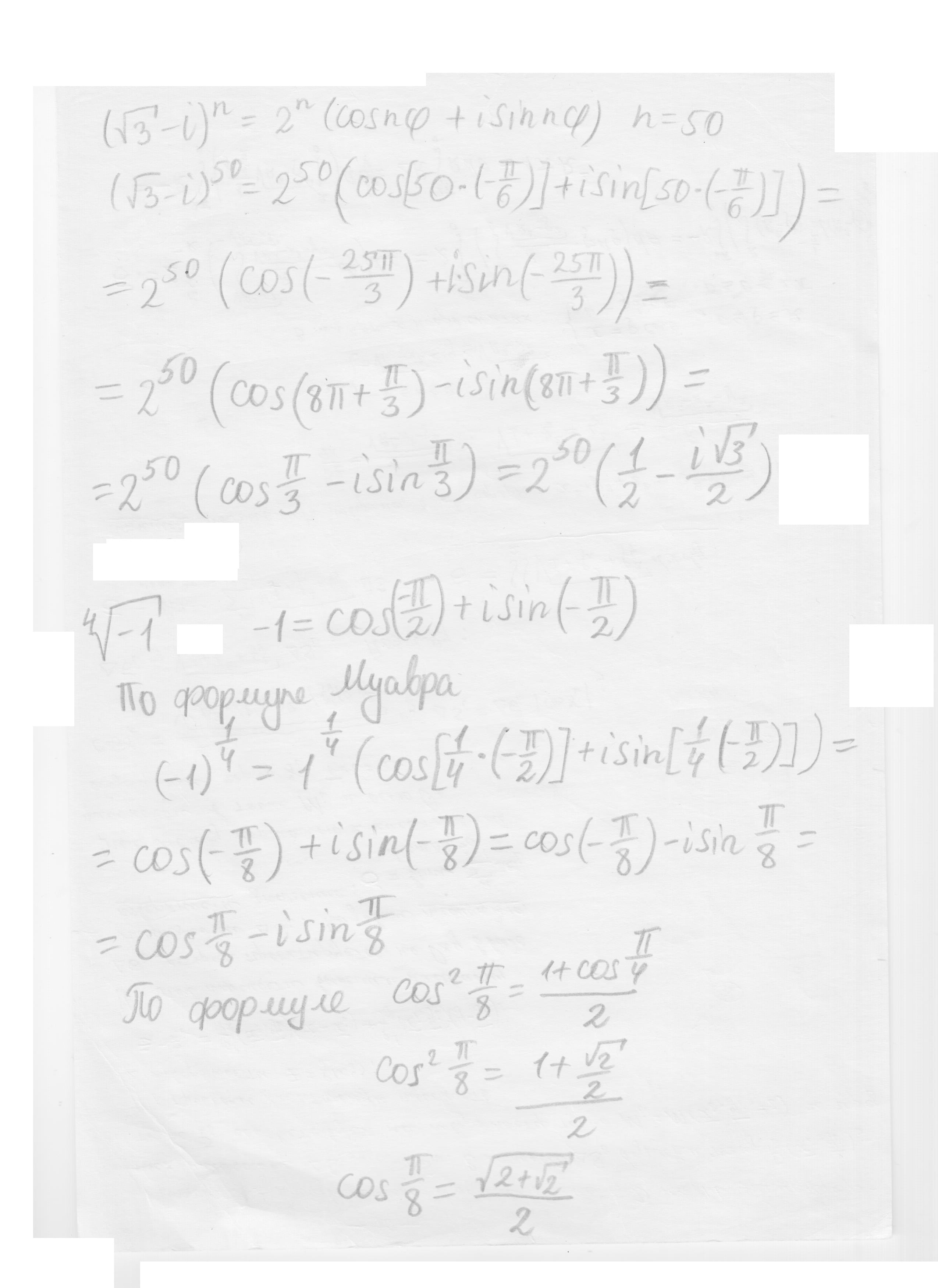
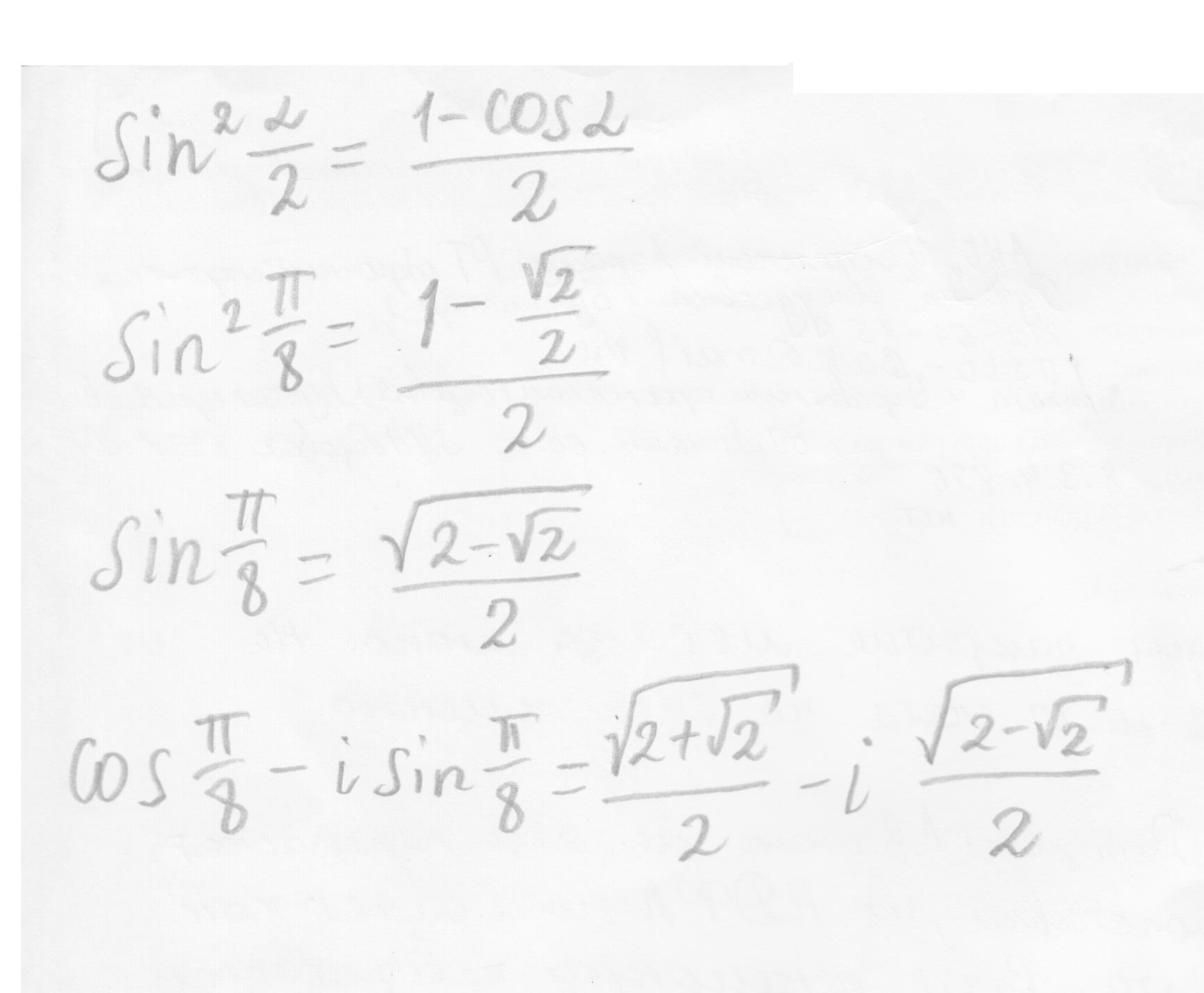
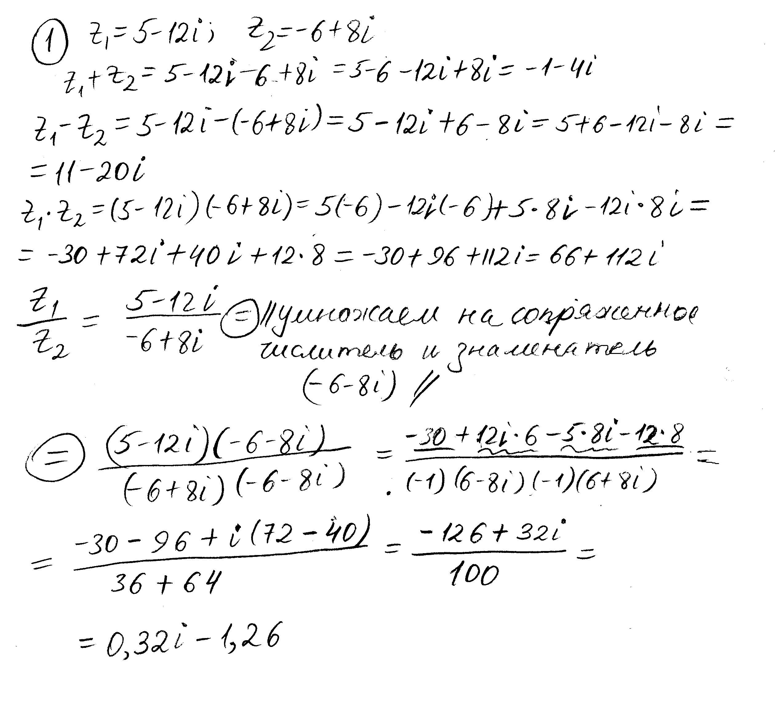
Решение в приложении. Должно быть понятно. Второе задание попросите кого-нибудь))
Приложения:




Вас заинтересует
2 года назад
2 года назад
3 года назад
3 года назад
9 лет назад
9 лет назад
9 лет назад