Ответы
Ответ дал:
0
Ответ дал:
0
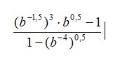
Решение во вложении. Удачи
Приложения:

Вас заинтересует
2 года назад
3 года назад
3 года назад
9 лет назад
9 лет назад
9 лет назад