Ответы
Ответ дал:
0
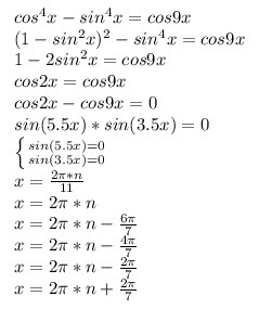
ВОТ ПРИМЕР СМОТРИТЕ И ДЕЛАЙТЕ !!!!!!!!!
Приложения:

Вас заинтересует
2 года назад
2 года назад
3 года назад
9 лет назад