Ответы
Ответ дал:
0
Ответ:
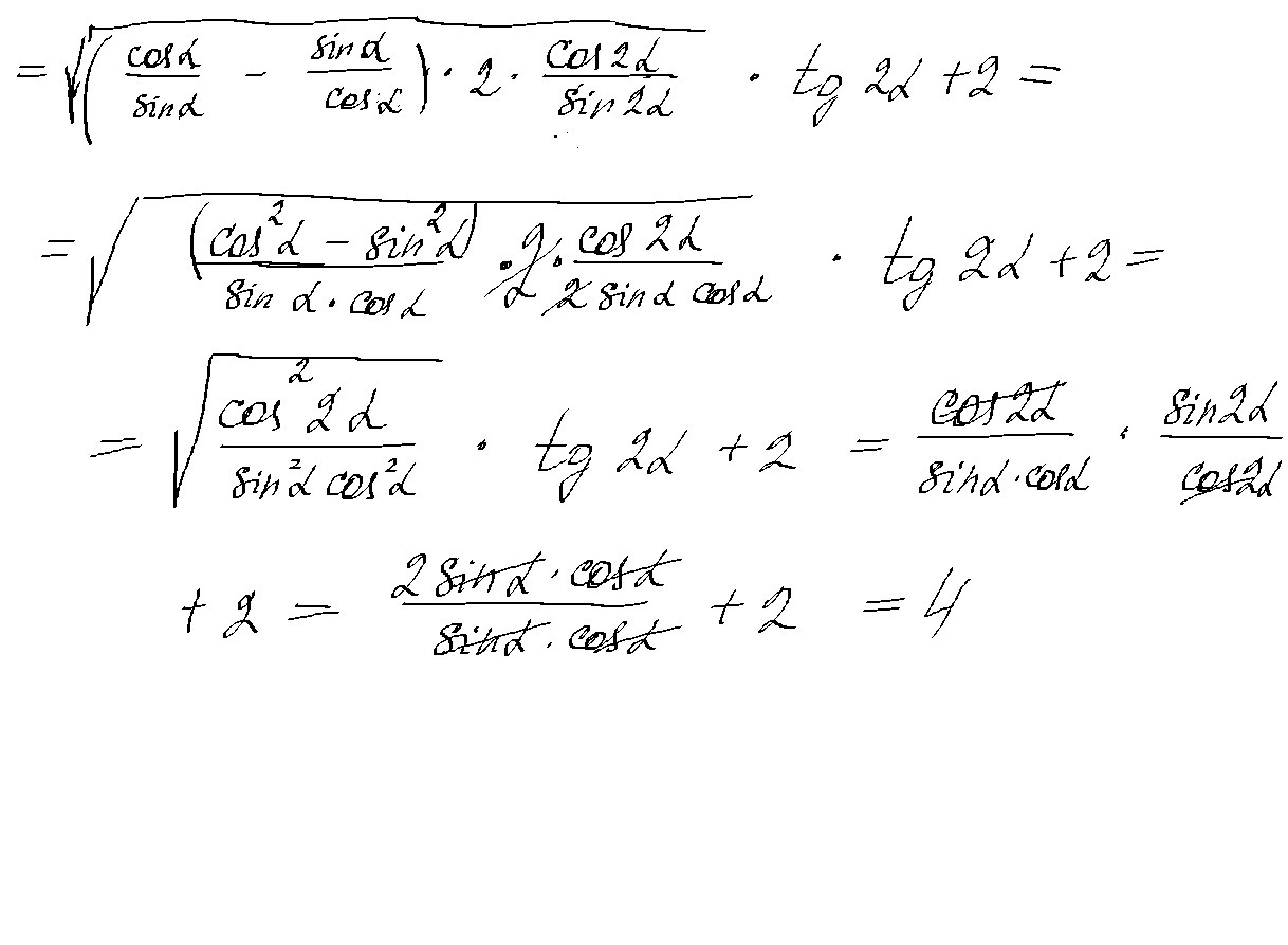
Пошаговое объяснение:
Приложения:

Ответ дал:
0
Спасибо
Ответ дал:
0
ок
Вас заинтересует
2 года назад
2 года назад
3 года назад
9 лет назад
9 лет назад
9 лет назад