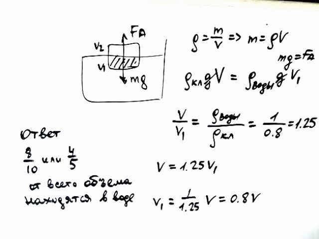
Тело из клёна,плотность которого 0.8г/см^3,плавает в пресной воде.Укажи,какая часть тела погружена в воду
Ответы
Ответ дал:
0
Тело из клёна,плотность которого 0.8г/см^3,плавает в пресной воде.Укажи,какая часть тела погружена в воду
Приложения:

Вас заинтересует
2 года назад
2 года назад
3 года назад
9 лет назад
9 лет назад