Ответы
Ответ дал:
0
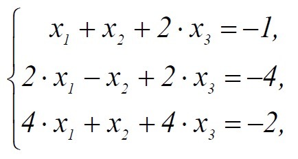
Вроде так должно получиться
Приложения:

Вас заинтересует
2 года назад
3 года назад
3 года назад
9 лет назад