• Предмет: Алгебра
  • Автор: alinamuratova23958
  • Вопрос задан 8 лет назад

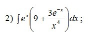
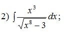
Найти неопределенный интеграл.
Очень нужно, пожалуйста.

Приложения:

Ответы

Ответ дал: oydinsultonova4747
0

∫x/cos^2(x)dx

Используем формулу

∫udv=uv-∫vdu

u=x  

du=dx

dv=dx/cos^2(x)

v=tg(x)

  ∫x/cos^2(x)dx=x*tg(x)-∫tg(x)dx=x*tg(x)-∫sin(x)dx/cos(x)=

=x*tg(x)-∫(-d(cos(x)))/cos(x)

=x*tg(x)+ln(cos(x)


Приложения:
Вас заинтересует