• Предмет: Математика
  • Автор: atselovalnikova
  • Вопрос задан 8 лет назад

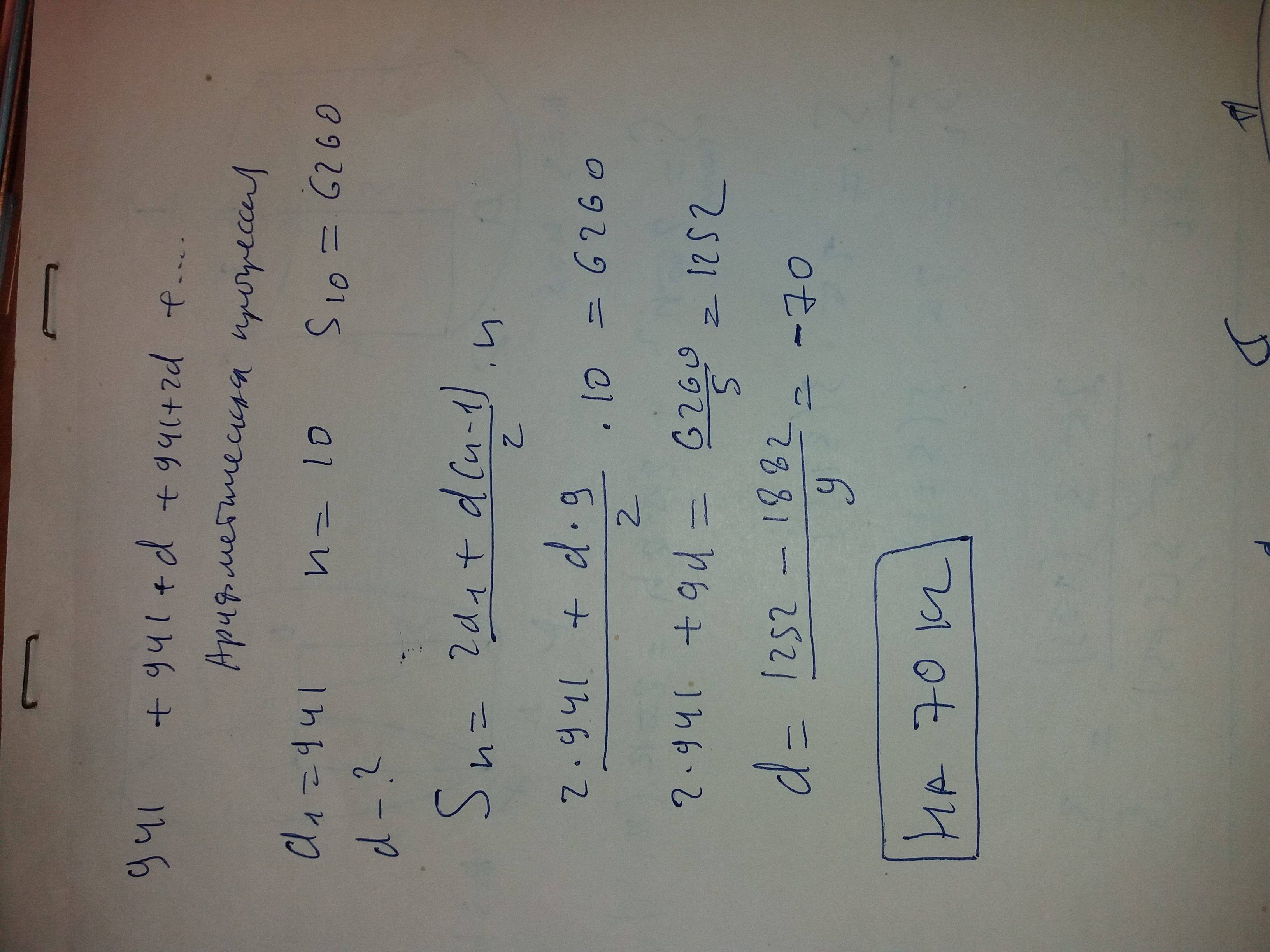
На перепродажу пошло 6260 кг закупленных ягод. За первую неделю был продан
941 кг ягод, а за каждую следующую неделю продавали по сравнению с предыдущей
неделей на одно и то же количество ягод меньше. На сколько килограмм уменьшалась
продажа ягод каждую неделю, если все ягоды были проданы за 10 недель?

Ответы

Ответ дал: Беня2018
0

Ответ:


Пошаговое объяснение:


Приложения:
Вас заинтересует