• Предмет: Алгебра
  • Автор: sadasdsss
  • Вопрос задан 8 лет назад

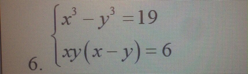
РЕБЯТА ПОМОГИТЕ С АЛГЕБРОЙ
ОДНОРОДНЫЕ СИСТЕМЫ
ПРИМЕР НА ФОТО

Приложения:

Ответы

Ответ дал: aysua212
0
если возникнут какие-то вопросы, можете задать
Приложения:
Ответ дал: sadasdsss
0
так тут нужно найти корни y и x
через однородную систему
Вас заинтересует