Ответы
Ответ дал:
0
Ответ:
И
Пошаговое объяснение:
Приложения:

Ответ дал:
0
Извините. Дальше не успела))) Если что, напишите. Решу позже
Ответ дал:
0
Спасибо
Ответ дал:
0
Ответ:
Пошаговое объяснение:
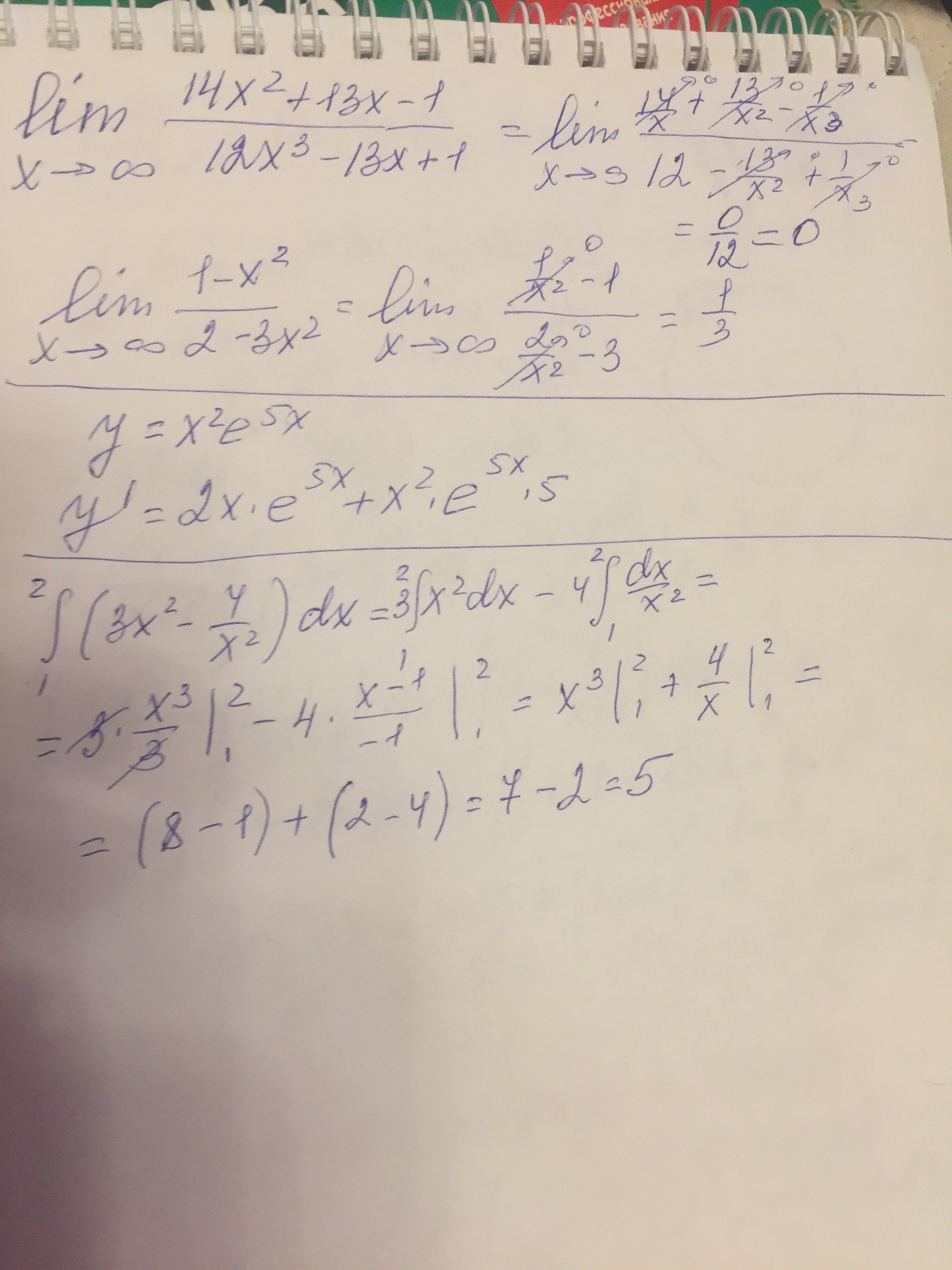
1.
lim(x→∞) ((14x²+13x-1)/(12x³-13x+1))
Неопределённость ∞/∞. ⇒
Разделим одновременно числитель и знаменатель на х³:
lim(x→∞) ((14x²/x³+13x/x³-1/x³)/(12x³/x³-13x/x³+1/x³)=
=lim(x→∞) ((14/x+13/x²-1/x³)/(12-13/x²+1/x³))=0/12=0.
lim(x→∞) ((1-x²)/(2-3x²))
Неопределённость ∞/∞. ⇒
Разделим одновременно числитель и знаменатель на х²:
lim(x→∞) (1/x²-x²/x²)/(2/x²-3x²/x²)=lim(x→∞) ((1/x²-1)/(2/x²-3))=-1/(-3)=1/3.
2.
y=x²*e⁵ˣ
y'=(x²)'*e⁵ˣ+x²*(e⁵ˣ)'=2*x*e⁵ˣ+x²*5*e⁵ˣ=e⁵ˣ*(2x+5*x²)=
=e⁵ˣ*x*(5x+2).
3.
₁∫² (3x²-4/x²)dx=₁∫² (3x²-4x⁻²)dx=(3x³/3-(4*(-1)*x⁻¹) ₁|²=
=(x³+4/x) ₁|²=2³+4/2-(1+4/1)=8+2-5=5.
Приложения:

Ответ дал:
0
Вы со мной на связи?
Ответ дал:
0
Да, все подошло, спасибо
Вас заинтересует
2 года назад
3 года назад
8 лет назад
9 лет назад