Ответы
Ответ дал:
0
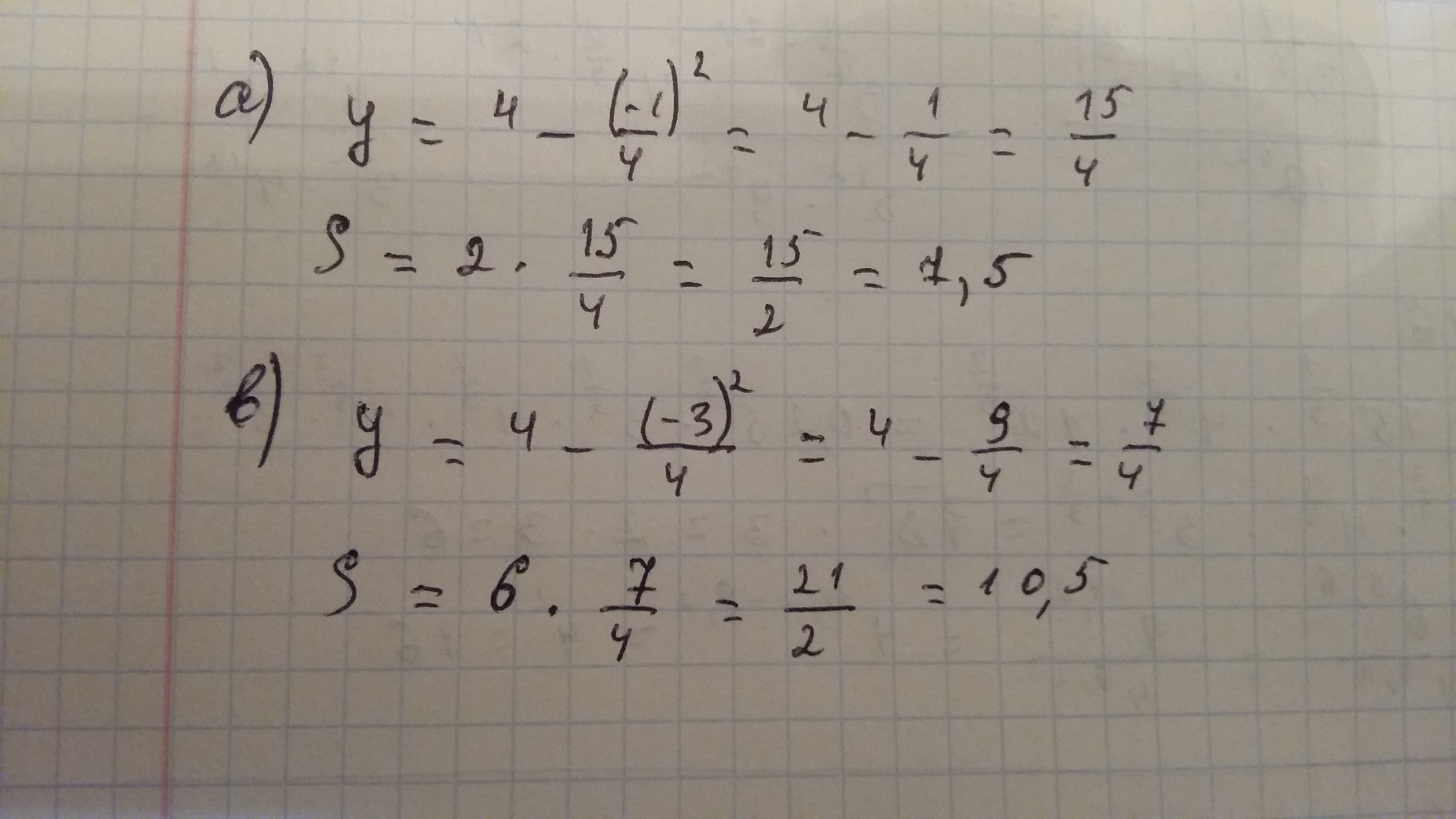
Ответ:
Пошаговое объяснение:
Приложения:

Ответ дал:
0
ответы неправильно в пункте b)ответ 14 это точно но я как решать не знаю
Вас заинтересует
2 года назад
2 года назад
3 года назад
3 года назад
9 лет назад
9 лет назад
9 лет назад