Ответы
Ответ дал:
0
......................................................... .........................................
Приложения:

Ответ дал:
0
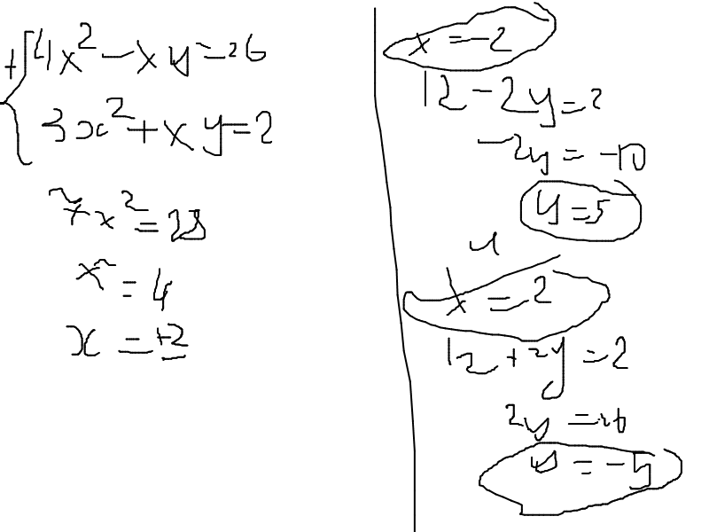
4x^2-xy+3x^2+xy=26+2
7x^2=28
x^2=4
x=2 x=-2
y=-5 y=5
7x^2=28
x^2=4
x=2 x=-2
y=-5 y=5
Приложения:

Вас заинтересует
2 года назад
2 года назад
8 лет назад
8 лет назад
10 лет назад
10 лет назад