• Предмет: Алгебра
  • Автор: Algjfd
  • Вопрос задан 8 лет назад

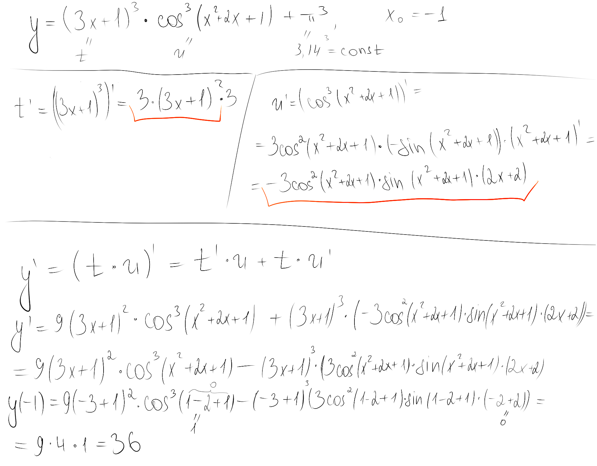
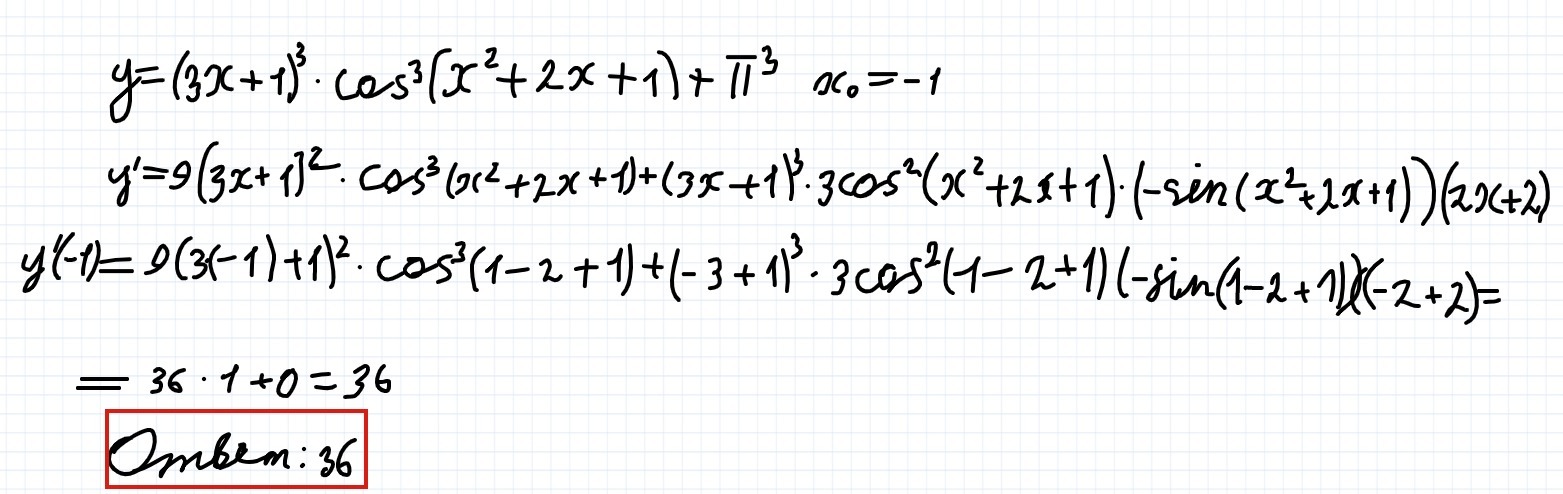
Здраствуйте помогите пожалуйста рассчитать производную... y=(3x+1)^3 * cos^3(x^2+2x+1)+P^3

Приложения:

Ответы

Ответ дал: MeDi0N
0

********************************************

Приложения:
Ответ дал: MeDi0N
0
изи , спасибо что ошибку нашел
Ответ дал: csharp
0
Дружище.. Произведение СЛОЖНЫХ функций.
Ответ дал: csharp
0
А это значит, что, к примеру, производная от (3x+1)^3 = 3*(3x+1)*(3x+1)'
Ответ дал: csharp
0
А от cos^3(x^2 + x + 1) = 3cos^2(x^2+x+1)*(-sin(x^2+x+1))*(x^2+x+1)'
Ответ дал: csharp
0
Поэтому и спросил, будешь переписывать? У меня это решение на холст 1500*1920 еле-еле влезло.
Ответ дал: csharp
0

####################

Приложения:
Вас заинтересует