Помогите пожалуйста не могу решить
Вычислить интегралы:
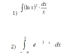
1) неопределенный интеграл
2) несобственный интеграл

Ответы
По началу всё кажется запутано, но если разобраться, то всё очень просто!
1) ∫(lnx)²· dx/x → Подводим функцию 1/x под знак дифференциала, по таблицам интегрирования мы знаем, что ∫(1/x)dx = lnx. → получаем ∫(lnx)²·d(lnx) → далее для интегрирования принимаем тот факт, что мы интегрируем уже не по х, а по lnx, мысленно меняем lnx на x, и получаем простой интеграл ∫x²dx = x³/3. Но главное не забыть поменять всё назад, и получим ответ: (lnx)³/3.
2) В этом интеграле всё очень похоже, мы знаем интеграл ∫eˣdx = eˣ, но у нас в условии не eˣ, a e³ˣ, чтобы проинтегрировать такой интеграл, нам нужно возле дифференицала получить цифру 3, дабы получилось следующее уравнение: ∫e³ˣd(3x), чтобы получить интеграл такого вида нам нужно умножить интеграл на 3 И поделить его на 3, поскольку мы не можем взять тройку из ниоткуда, нам нужно проделать такую операцию, в итоге: 1/3∫e³ˣd(3x) и по предыдущему примеру находим такой интеграл → 1/3e³ˣ. Но не забываем подставить границы. Подставляем вместо х 0 и получаем:
e⁰ = 1 значит весь интеграл равен: 1/3*1
Подставляем -∞:
e^(-∞) = 0 значит весь интеграл равен: 1/3*0 = 0.
Получаем, что наш интеграл ∫e³ˣdx в пределах от -∞ до 0 равен: 1/3 - 0 = 1/3.
Извините, что много букв, пытался объяснить как можно подробней.