• Предмет: Алгебра
  • Автор: hgghhghjhjhgg
  • Вопрос задан 8 лет назад

Пожалуйста помогите с решением, желательно полным. Сам не могу решить

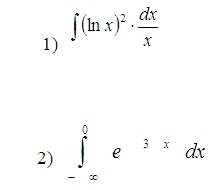
Вычислить интегралы:
1) неопределенный интеграл
2) несобственный интеграл

Приложения:

Ответы

Ответ дал: NNNLLL54
0

1); ; int (lnx)^2cdot frac{dx}{x}=int (lnx)^2cdot d(lnx)=[, t=lnx,; dt=frac{dx}{x}; ]=int t^2cdot dt=\\=frac{t^3}{3}+C=frac{ln^3x}{3}+C=frac{(lnx)^3}{3}+C\\\2); ; intlimits^0_{-infty }, e^{3x}, dx=limlimits _{A to -infty}, intlimits^0_{A}, e^{3x}, dx=limlimits _{A to -infty}, (frac{1}{3}cdot e^{3x}), Big |_{A}^0=\\=frac{1}{3}cdot limlimits_{A to -infty}, (1-underbrace {e^{3A}}_{to 0})=frac{1}{3}cdot (1-0)=frac{1}{3}; ; ; sxoditsya

Ответ дал: hgghhghjhjhgg
0
Спасибо!
Вас заинтересует