Ответы
Ответ дал:
0
3x + 3y = 3(x + y)
5a - 5b = 5(a - b)
7a + 7y = 7(a + y)
8x - 8a = 8(x - a)
3x + 6y = 3(x + 2y)
5a - 20b = 5(a - 4b)
7x + 14y = 7(x + 2y)
8a - 16b = 8(a - 2b)
8x + 12y = 4(2x + 3y)
15x - 20z = 5(3x - 4z)
21b + 49k = 7(3b + 7k)
4c² + 12c⁷ = 4с²(1 + 3с⁵)
8x³ - 24x² = 8x²(x - 3)
y⁵ + 2y³ = y³(y² + 2)
7c⁸ - 5c³ = c³(7c⁵ - 5)
4z⁵ + 12z = 4z(z⁴ + 3)
7a⁷ + 14a = 7a(a⁶ + 2)
7ax + 7bx = 7x(a + b)
3by - 6b = 3b(y - 2)
3a + 9ab = 3a(1 + 3b)
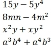
15y - 5y⁴ = 5y(3 - y³)
8mn - 4m² = 4m(2n - m)
x²y + xy² = xy(x + y)
a³b⁴ + a⁴b³ = a³b³(b + a)
5a - 5b = 5(a - b)
7a + 7y = 7(a + y)
8x - 8a = 8(x - a)
3x + 6y = 3(x + 2y)
5a - 20b = 5(a - 4b)
7x + 14y = 7(x + 2y)
8a - 16b = 8(a - 2b)
8x + 12y = 4(2x + 3y)
15x - 20z = 5(3x - 4z)
21b + 49k = 7(3b + 7k)
4c² + 12c⁷ = 4с²(1 + 3с⁵)
8x³ - 24x² = 8x²(x - 3)
y⁵ + 2y³ = y³(y² + 2)
7c⁸ - 5c³ = c³(7c⁵ - 5)
4z⁵ + 12z = 4z(z⁴ + 3)
7a⁷ + 14a = 7a(a⁶ + 2)
7ax + 7bx = 7x(a + b)
3by - 6b = 3b(y - 2)
3a + 9ab = 3a(1 + 3b)
15y - 5y⁴ = 5y(3 - y³)
8mn - 4m² = 4m(2n - m)
x²y + xy² = xy(x + y)
a³b⁴ + a⁴b³ = a³b³(b + a)
Ответ дал:
0
1.3(x+y)
2.5(a-b)
3.7(a+y)
4.8(×-a)
5.3(×+2y)
6.5(a-4b)
7.7(×+2y)
8.8(a-2b)
9.4(2×+3y)
10.5(3×-4z)
11.7(3b+7k)
12.4c^2(1+3c^5)
13.8x^2(x-3)
14.y^3(y^2+2)
15.c^3(7c^5-5)
16.4z(z^4+4)
17.7a(a^6+2)
18.7x(a+b)
19.3b(y-2)
20.3а(1+3b)
5y(3-y^3)
4m(2n-m)
xy(x+y)
a^3b^3(b+a)
2.5(a-b)
3.7(a+y)
4.8(×-a)
5.3(×+2y)
6.5(a-4b)
7.7(×+2y)
8.8(a-2b)
9.4(2×+3y)
10.5(3×-4z)
11.7(3b+7k)
12.4c^2(1+3c^5)
13.8x^2(x-3)
14.y^3(y^2+2)
15.c^3(7c^5-5)
16.4z(z^4+4)
17.7a(a^6+2)
18.7x(a+b)
19.3b(y-2)
20.3а(1+3b)
5y(3-y^3)
4m(2n-m)
xy(x+y)
a^3b^3(b+a)
Вас заинтересует
2 года назад
2 года назад
3 года назад
9 лет назад
10 лет назад
10 лет назад