• Предмет: Физика
  • Автор: sabakavgope
  • Вопрос задан 8 лет назад

Помогите понять задачку по физике. Если нужно что - то перевести, то спрашивайте. Не понятно какая формула использовалась и как пришли к такому ответу, ответ я приложил. Подскажите пожалуйста как решать такую задачу и какие формулы использовать.

Приложения:

Ответы

Ответ дал: Vasily1975
0

По-моему, условие задачи таково:

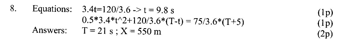
Грузовой автомобиль едет по дороге с постоянной скоростью 75 км/ч и в некоторый момент времени проезжает мимо стоящего на месте автомобиля. Через 5 секунд после этого указанный автомобиль начинает движение с постоянным ускорением 3,4 м/с² и разгоняется до скорости 120 км/ч. Вопросы: 1) через какое время после начала движения данный автомобиль догонит грузовой автомобиль? 2) какой путь он при этом пройдёт?

Решение: пусть t - время разгона автомобиля до скорости 120 км/ч, T - искомое время. X - искомый путь . Так как по условию автомобиль движется равноускоренно, то его скорость v=a*t, где по условию v=120 км/ч=120/3,6 м/с, a=3,4 м/с². Отсюда время t=v/a=(120/3,6)/3,4≈9,8 с. За это время автомобиль пройдёт путь s1=a*t²/2, или 0,5*3,4*t² м. Дальше по условию в течение времени T-t с автомобиль движется с постоянной скоростью v=120 км/ч=120/3,6 м/с и за это время проходит путь s2=120/3,6*(T-t) м. Пусть s - путь, который проходит за время T+5 с грузовой за автомобиль, тогда s=75/3,6*(T+5). Тогда из условия s1+s2=s получается уравнение 0,5*3,4*t²+120/3,6*(T-t)=75/3,6*(T+5). Подставляя в него известное t=9,8 с, получаем уравнение 45*T=963, откуда T=963/45≈21,4 с≈21 с.  Искомый путь X=s=75/3,6*(21,4+5)=550 м.  


Ответ дал: sabakavgope
0
Спасибо большое!
Ответ дал: Vasily1975
0
Желаю удачи!
Вас заинтересует