• Предмет: Физика
  • Автор: avocado0706
  • Вопрос задан 8 лет назад

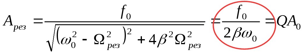
Как выводится выделенная формула максимальной амплитуды затухающих колебаний?

Приложения:

Ответы

Ответ дал: Dedagenn
0
Момент резонанса -это когда Wрез=wo, тогда под корнем (wo²-Wрез²)=0, вот и получилась Арез.
Только почему затухающих? Это амплитуда незатухающих установившихся колебаний на частоте резонанса
Ответ дал: avocado0706
0
Да, с затухающими я ошибся.
Ответ дал: avocado0706
0
Но Wрез не будет равно W0. Они будут близки, но не будут совпадать
Вас заинтересует