• Предмет: Алгебра
  • Автор: Artemievakatear
  • Вопрос задан 8 лет назад

Помогите решить 8 и 9 пожалуйста! Дам 25 баллов

Приложения:

Ответы

Ответ дал: miron2077
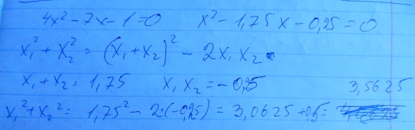
0

!!!!!!!!!!!!!!!!!!!!!!!!!!!!!!!!!!!!!!

Приложения:
Вас заинтересует